| ||||||||||||||||||||||||||||
Скачать ГОСТ Р 72029-2025 Сосуды стальные сварные для вагонов-цистерн. Общие технические условияДата актуализации: 01.06.2025
| ||||||||||||||||||||||||||||
| Обозначение: | ![]() ГОСТ Р 72029-2025 |
| Статус: | принят |
| Название рус.: | Сосуды стальные сварные для вагонов-цистерн. Общие технические условия |
| Название англ.: | Welded steel vessels for tank wagons. General technical specifications |
| Дата актуализации текста: | 01.06.2025 |
| Дата актуализации описания: | 01.06.2025 |
| Дата издания: | 29.04.2025 |
| Дата введения: | 01.10.2026 |
| Нормативные ссылки: | ГОСТ 8.051; ГОСТ 9.402; ГОСТ 12.1.007; ГОСТ 12.2.085; ГОСТ 15.309-98; ГОСТ 15.902; ГОСТ 166; ГОСТ 427; ГОСТ 1759.0; ГОСТ 2184; ГОСТ 3242; ГОСТ 5264; ГОСТ 6032; ГОСТ 6533; ГОСТ 6996; ГОСТ 7409-2018; ГОСТ 7502; ГОСТ 7505; ГОСТ 7512; ГОСТ 8026; ГОСТ 8479; ГОСТ 8713; ГОСТ 8724; ГОСТ 9150; ГОСТ 9454; ГОСТ 9544; ГОСТ 10674-2022; ГОСТ 11534; ГОСТ 14637; ГОСТ 14771; ГОСТ 14776; ГОСТ 15150; ГОСТ 15878; ГОСТ 16037; ГОСТ 16504; ГОСТ 18442; ГОСТ 19281; ГОСТ 22235; ГОСТ 22727; ГОСТ 23055; ГОСТ 23518; ГОСТ 24297; ГОСТ 24705; ГОСТ 24856; ГОСТ 32894; ГОСТ 33211; ГОСТ 33788-2016; ГОСТ 33976; ГОСТ 34056; ГОСТ 34991;ГОСТ OIML R 76-1; ГОСТ Р 2.601; ГОСТ Р 2.610; ГОСТ Р 8.568; ГОСТ Р 15.301; ГОСТ Р 27.102; ГОСТ Р 50779.12; ГОСТ Р 53228; ГОСТ Р 56512; ГОСТ Р 58972; ГОСТ Р 70488; ГОСТ Р ИСО 17637 |
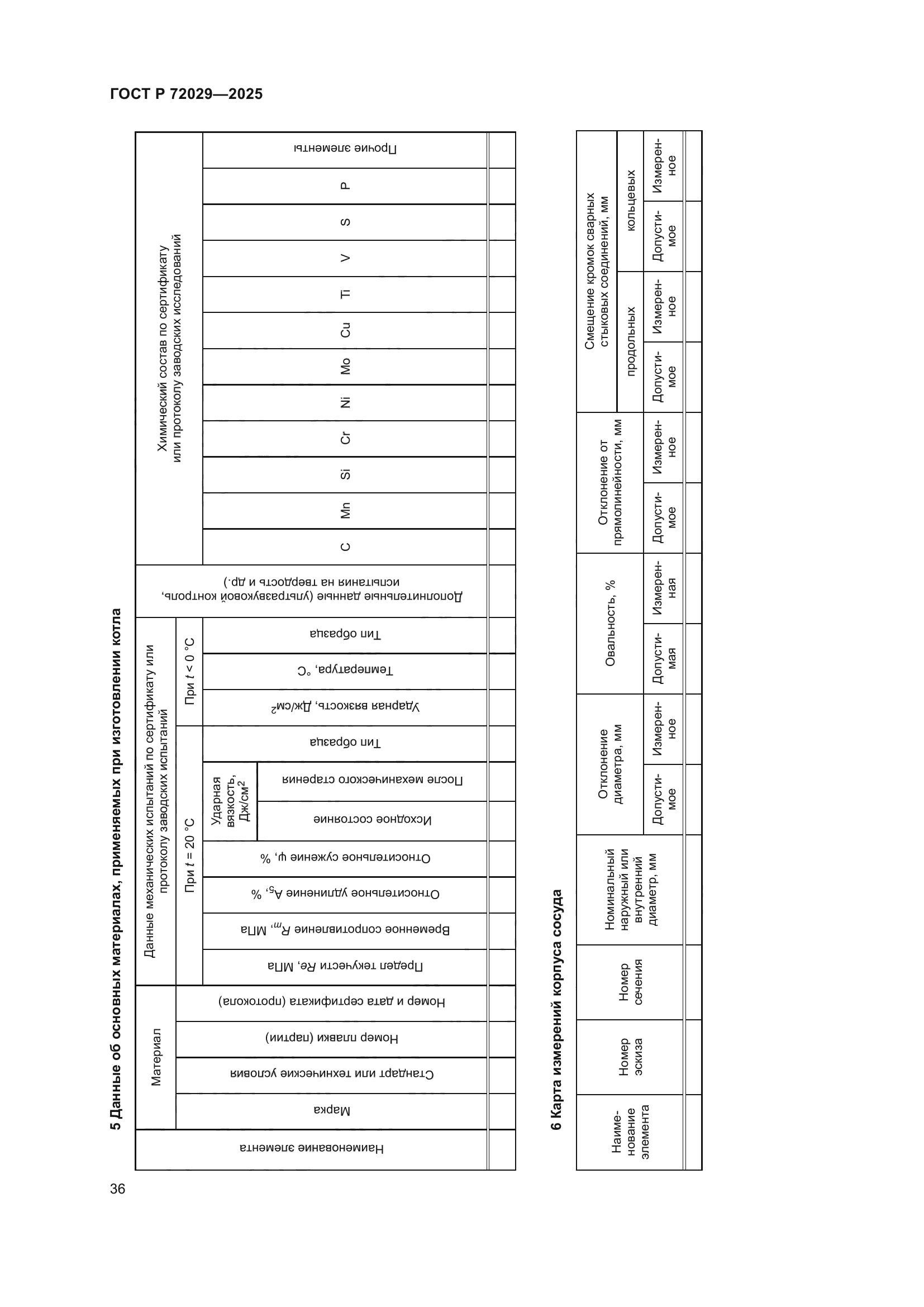
| Область применения: | Настоящий стандарт распространяется на стальные сварные сосуды для вагонов-цистерн, предназначенных для перевозки затвердевающих, жидких, насыпных грузов и сжиженных газов по железнодорожным путям общего и необщего пользования шириной колеи 1520 мм. Настоящий стандарт не распространяется на котлы вагонов-цистерн, предназначенных для перевозки сжиженных криогенных газов |
| Расположен в: | |

















































