| Обозначение: |  ГОСТ Р ИСО 11051-2021 |
| Статус: | действующий |
| Название рус.: | Пшеница твердая (Triticum durum Desf.). Технические условия |
| Название англ.: | Durum wheat (Triticum durum Desf.). Specification |
| Дата актуализации текста: | 01.06.2022 |
| Дата актуализации описания: | 01.07.2023 |
| Дата издания: | 31.01.2022 |
| Дата введения: | 01.03.2022 |
| Аутентичен стандартам: | ISO 11051:1994 |
| Нормативные ссылки: | ISO 712:1985;ISO 24333;ISO 3093:1982;ISO 5223:1983;ISO 7971:1986 |
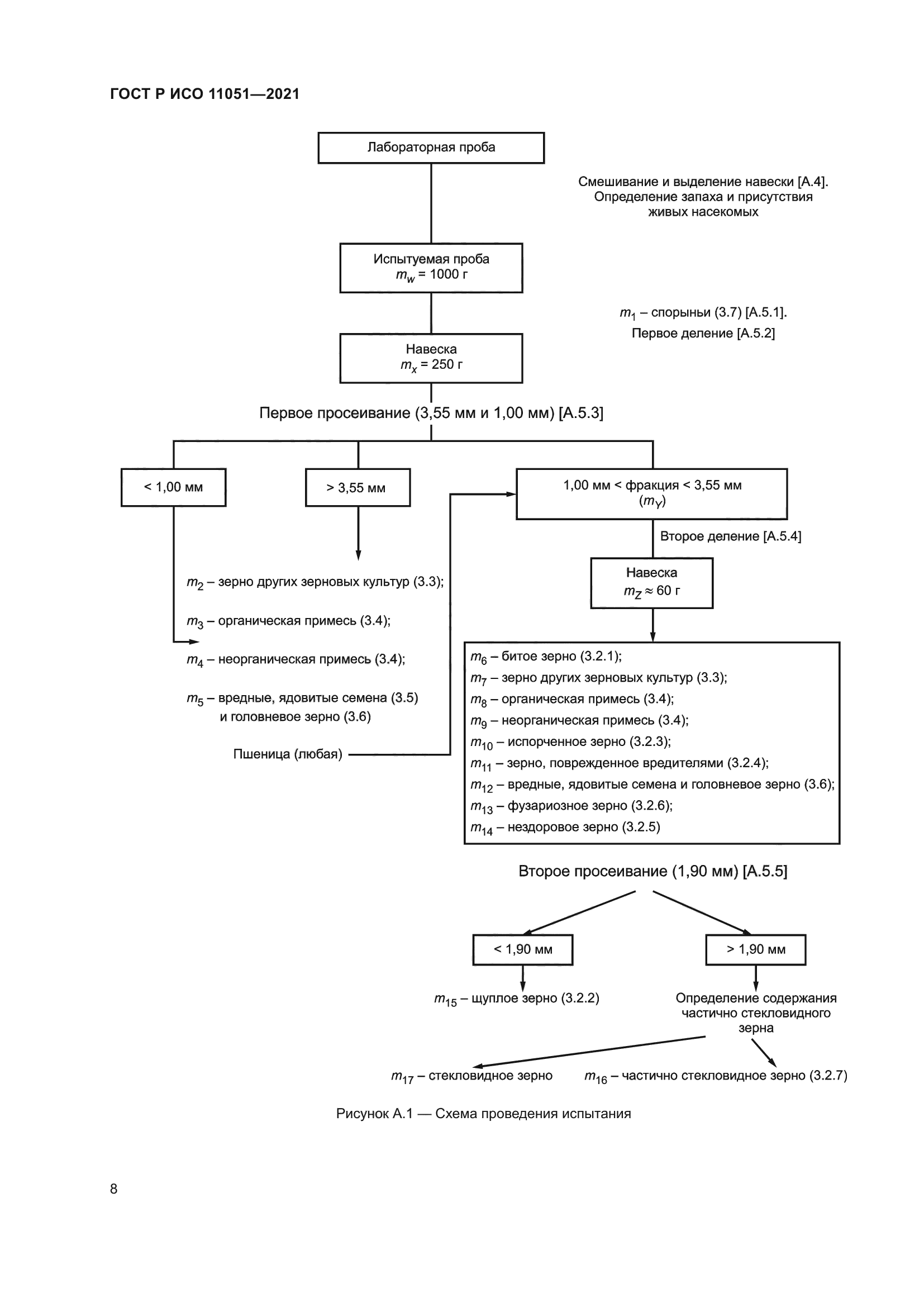
| Область применения: | Настоящий стандарт устанавливает основные требования к твердой пшенице (Triticum durum Desf.), предназначенной на продовольственные цели и являющейся объектом международной торговли, а также к методам определения содержания примесей (приложение A), частично стекловидного зерна (приложение B) и содержит перечень наиболее распространенных насекомых - вредителей хлебных запасов (приложение С) и справочный перечень вредных и ядовитых семян (приложение D) |
|
| Расположен в: |
|