| ||||||||||||||||||||||||||||||||||||||
Скачать ГОСТ 5976-2020 Вентиляторы радиальные общего назначения. Общие технические условияДата актуализации: 01.06.2025
| ||||||||||||||||||||||||||||||||||||||
| Обозначение: | ![]() ГОСТ 5976-2020 |
| Статус: | действующий |
| Название рус.: | Вентиляторы радиальные общего назначения. Общие технические условия |
| Название англ.: | General-purpose radial fans. General specifications |
| Дата актуализации текста: | 01.01.2023 |
| Дата актуализации описания: | 01.07.2023 |
| Дата регистрации: | 30.06.2020 |
| Дата издания: | 16.11.2020 |
| Дата введения: | 01.06.2021 |
| Взамен: | ГОСТ 5976-90 |
| Нормативные ссылки: | ГОСТ 2.601; ГОСТ 9.014; ГОСТ 9.032; ГОСТ 9.402; ГОСТ 12.1.003; ГОСТ 12.1.012; ГОСТ 12.2.007.0; ГОСТ 12.3.019; ГОСТ 12.4.026; ГОСТ 2991; ГОСТ 10198; ГОСТ 10616; ГОСТ 10921; ГОСТ 12971; ГОСТ 14192; ГОСТ 15150; ГОСТ 15846; ГОСТ 22061; ГОСТ 25346; ГОСТ 30893.1; ГОСТ 31350; ГОСТ 31351; ГОСТ 31353.1; ГОСТ 31961; ГОСТ 33660; ГОСТ 34002 |
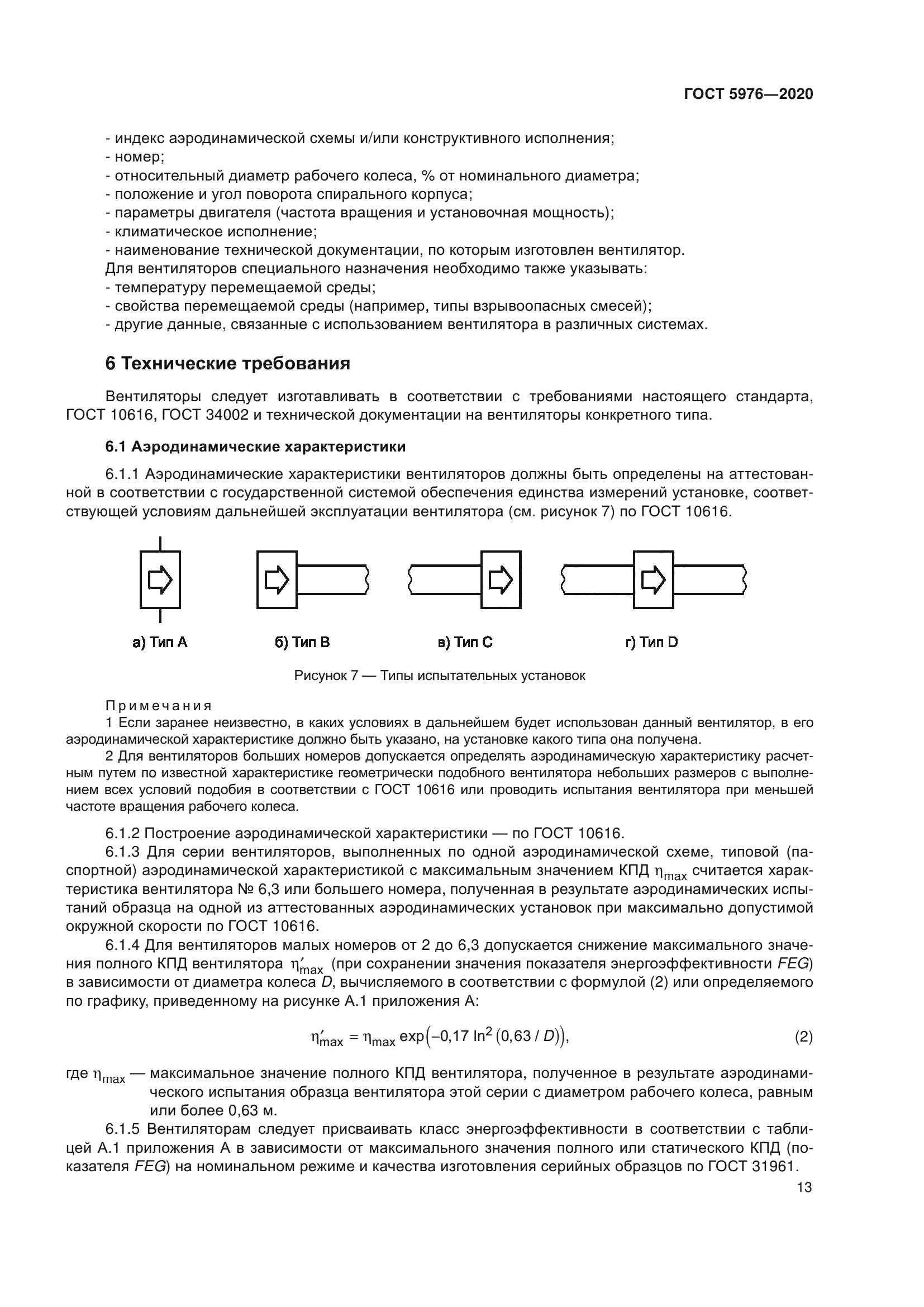
| Область применения: | Настоящий стандарт распространяется на вентиляторы радиальные общего назначения для обычных сред, одноступенчатые со спиральным, или цилиндрическим, или прямоугольным корпусом, а также без корпуса, односторонние и двусторонние, с рабочими колесами диаметром от 200 до 3150 мм, создающие полное давление не выше 30000 Па (со степенью сжатия до 1,3) при плотности перемещаемой газообразной среды на входе 1,2 кг/м3 и предназначенные для перемещения неагрессивного воздуха с температурой от минус 50 °С до плюс 80 °С, не содержащего липких веществ, волокнистых материалов, пыли и других твердых примесей более 100 мг/м3 для вентиляторов с расположением привода вне корпуса вентилятора |
| Приложение №1: | Поправка к ГОСТ 5976-2020 |
| Расположен в: | |





























| Обозначение: | Поправка к ГОСТ 5976-2020 |
| Дата введения: | 29.06.2022 |
