| Обозначение: |  ГОСТ Р 58501-2019 |
| Статус: | действующий |
| Название рус.: | Информатизация здоровья. Обмен данными с персональными медицинскими приборами. Часть 10425. Специализация прибора: глюкометр непрерывного действия (CGM) |
| Название англ.: | Health informatics. Personal health device communication. Part 10425. Device specialization: continuous glucose monitor (CGM) |
| Дата актуализации текста: | 01.02.2020 |
| Дата актуализации описания: | 01.01.2021 |
| Дата издания: | 15.10.2019 |
| Дата введения: | 01.05.2020 |
| Аутентичен стандартам: | ISO/IEEE 11073-10425:2016 |
| Нормативные ссылки: | ISO/IEEE 11073-20601:2010;IEEE 11073-20601:2010 |
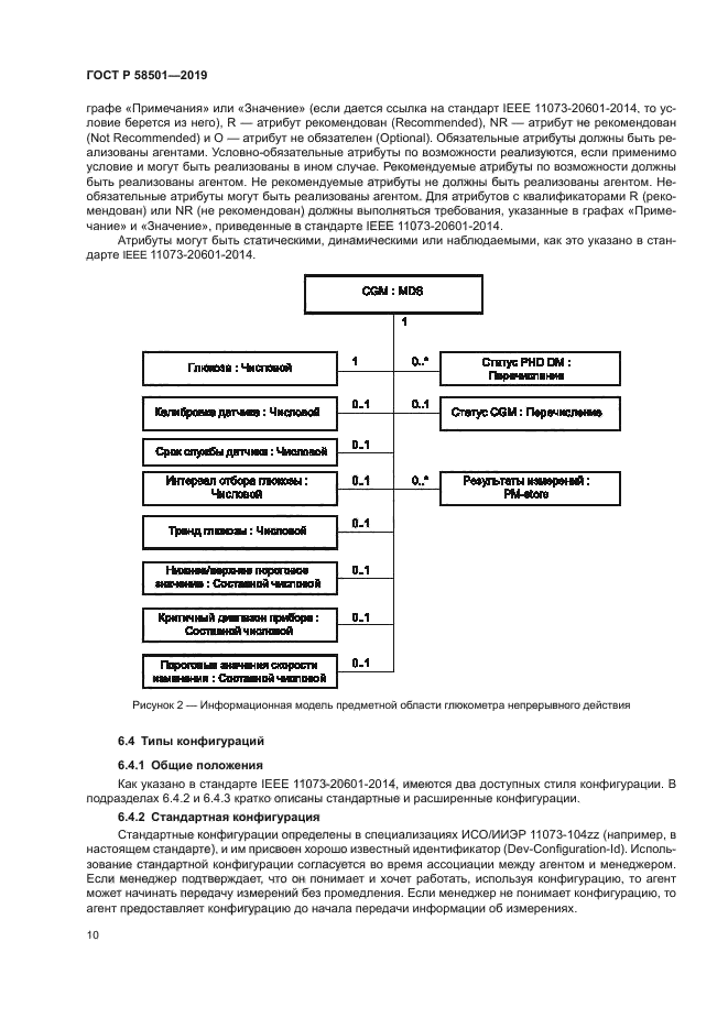
| Область применения: | Настоящий стандарт устанавливает нормативное определение обмена данными между глюкометрами непрерывного действия(CGM) и менеджерами (например, сотовыми телефонами, персональными компьютерами, бытовыми медицинскими приборами, телевизионными приставками), при котором обеспечивается интероперабельность с автоматическим конфигурированием. В настоящем стандарте используются соответствующие части существующих стандартов, включая терминологию и информационные модели ИСО/ИИЭР 11073. В нем указывается использование специфичных кодов терминов, форматов, и вариантов поведения в телемедицинской среде, ограничивающих необязательность основных инфраструктур в пользу интероперабельности. В настоящем стандарте определена общая основа коммуникационной функциональности устройств CGM. В этом контексте CGM относится к регулярному (как правило, через 5 мин) измерению уровня глюкозы в организме с помощью датчика, постоянно закрепленного на теле |
|
| Расположен в: |
|