| ||||||||||||||||||||||||||||
Скачать ГОСТ Р 57851.2-2017 Смесь газоконденсатная. Часть 2. Конденсат газовый нестабильный. Определение компонентно-фракционного состава методом газовой хроматографии с предварительным разгазированием пробыДата актуализации: 01.06.2025
| ||||||||||||||||||||||||||||
| Обозначение: | ![]() ГОСТ Р 57851.2-2017 |
| Статус: | действующий |
| Название рус.: | Смесь газоконденсатная. Часть 2. Конденсат газовый нестабильный. Определение компонентно-фракционного состава методом газовой хроматографии с предварительным разгазированием пробы |
| Название англ.: | Gas-condensate mixture. Part 2. Unstable gas condensate. Compositional analysis by gas chromatography method with preliminary sample degasification |
| Дата актуализации текста: | 01.01.2018 |
| Дата актуализации описания: | 01.07.2023 |
| Дата издания: | 05.12.2017 |
| Дата введения: | 01.01.2019 |
| Нормативные ссылки: | ГОСТ 12.0.004; ГОСТ 12.1.005; ГОСТ 12.1.007; ГОСТ 12.4.021; ГОСТ 2768; ГОСТ 3900; ГОСТ 4233; ГОСТ 7995; ГОСТ 13861; ГОСТ 17310; ГОСТ 17433; ГОСТ 17567; ГОСТ 25336; ГОСТ 28498; ГОСТ 30852.19; ГОСТ 31369-2008; ГОСТ Р ИСО 5725-1; ГОСТ Р ИСО 5725-6; ГОСТ Р ИСО 14001; ГОСТ Р 51673; ГОСТ Р 53228; ГОСТ Р 55609-2013; ГОСТ Р 55878; ГОСТ Р 57851.1-2017; ГОСТ Р 57851.3-2017; ГОСТ Р 57851.4-2017 |
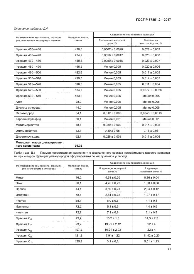
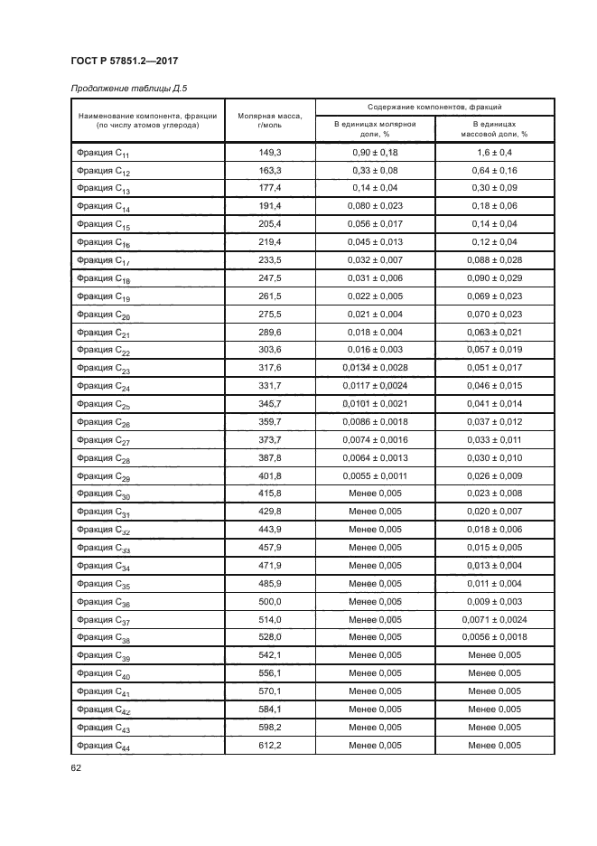
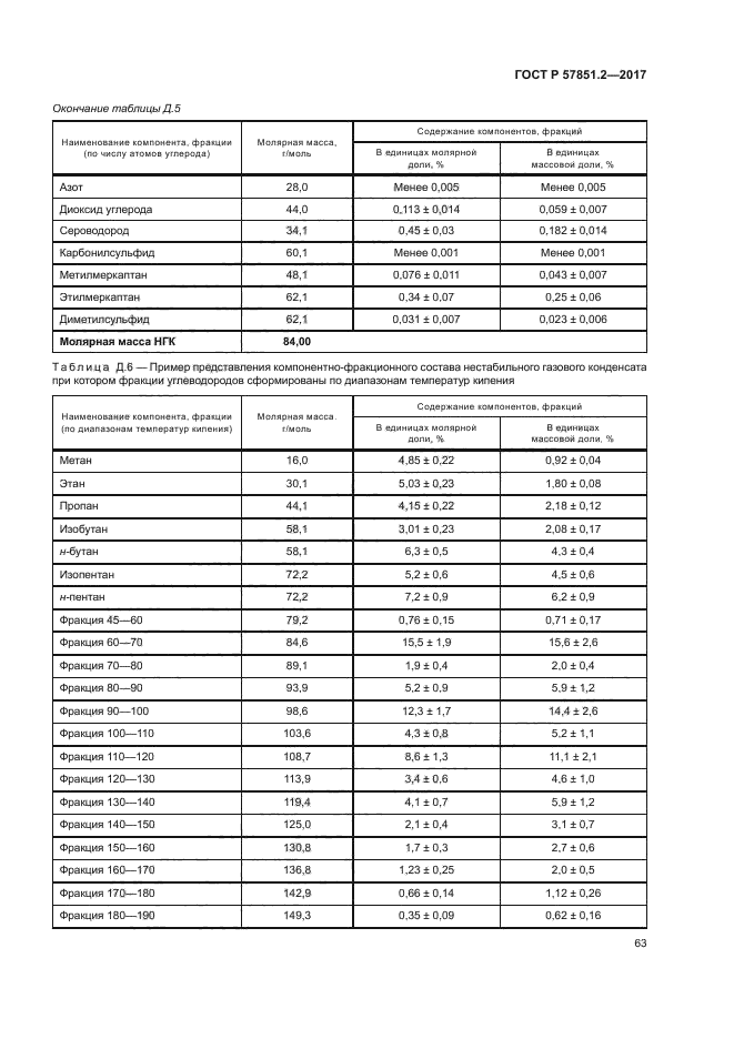
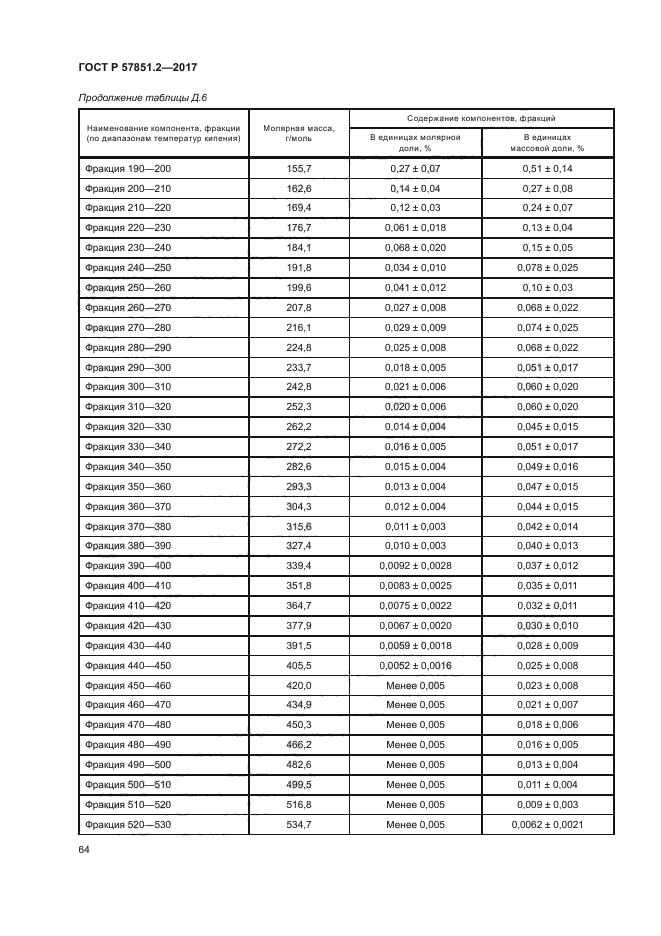
| Область применения: | Настоящий стандарт устанавливает определение молярной и массовой долей индивидуальных компонентов и фракций нестабильного газового конденсата, основанное на предварительном разгазировании пробы (далее - дегазации), анализе состава газовой фракции (газ дегазации) и жидкой фракции (дегазированный конденсат) хроматографическим методом и последующем объединении полученных результатов |
| Расположен в: | |





































































