| ||||||||||||||||||||||||||||||||||||||||||||
Скачать ГОСТ 6286-2017 Рукава резиновые высокого давления с металлическими оплетками без концевой арматуры. Технические условияДата актуализации: 01.06.2025
| ||||||||||||||||||||||||||||||||||||||||||||
| Обозначение: | ![]() ГОСТ 6286-2017 |
| Статус: | действующий |
| Название рус.: | Рукава резиновые высокого давления с металлическими оплетками без концевой арматуры. Технические условия |
| Название англ.: | High-pressure rubber hoses with metal braids without end fittings. Specifications |
| Дата актуализации текста: | 01.01.2023 |
| Дата актуализации описания: | 01.07.2023 |
| Дата регистрации: | 30.01.2017 |
| Дата издания: | 28.06.2017 |
| Дата введения: | 01.07.2018 |
| Взамен: | ГОСТ 6286-73 |
| Нормативные ссылки: | ГОСТ 2.124-2014; ГОСТ 9.030-74; ГОСТ 12.1.007-76; ГОСТ 15.309-98; ГОСТ 166-89; ГОСТ 427-75;ГОСТ ISO 1436-2013; ГОСТ 2405-88; ГОСТ 2991-85; ГОСТ 5378-88; ГОСТ 5959-80;ГОСТ ISO 6803-2013; ГОСТ 7502-98; ГОСТ 8074-82; ГОСТ 9570-84; ГОСТ 10354-82; ГОСТ 11358-89; ГОСТ 14192-96; ГОСТ 15102-75; ГОСТ 15150-69; ГОСТ 15152-69; ГОСТ 15846-2002; ГОСТ 20435-75; ГОСТ 24297-2013 |
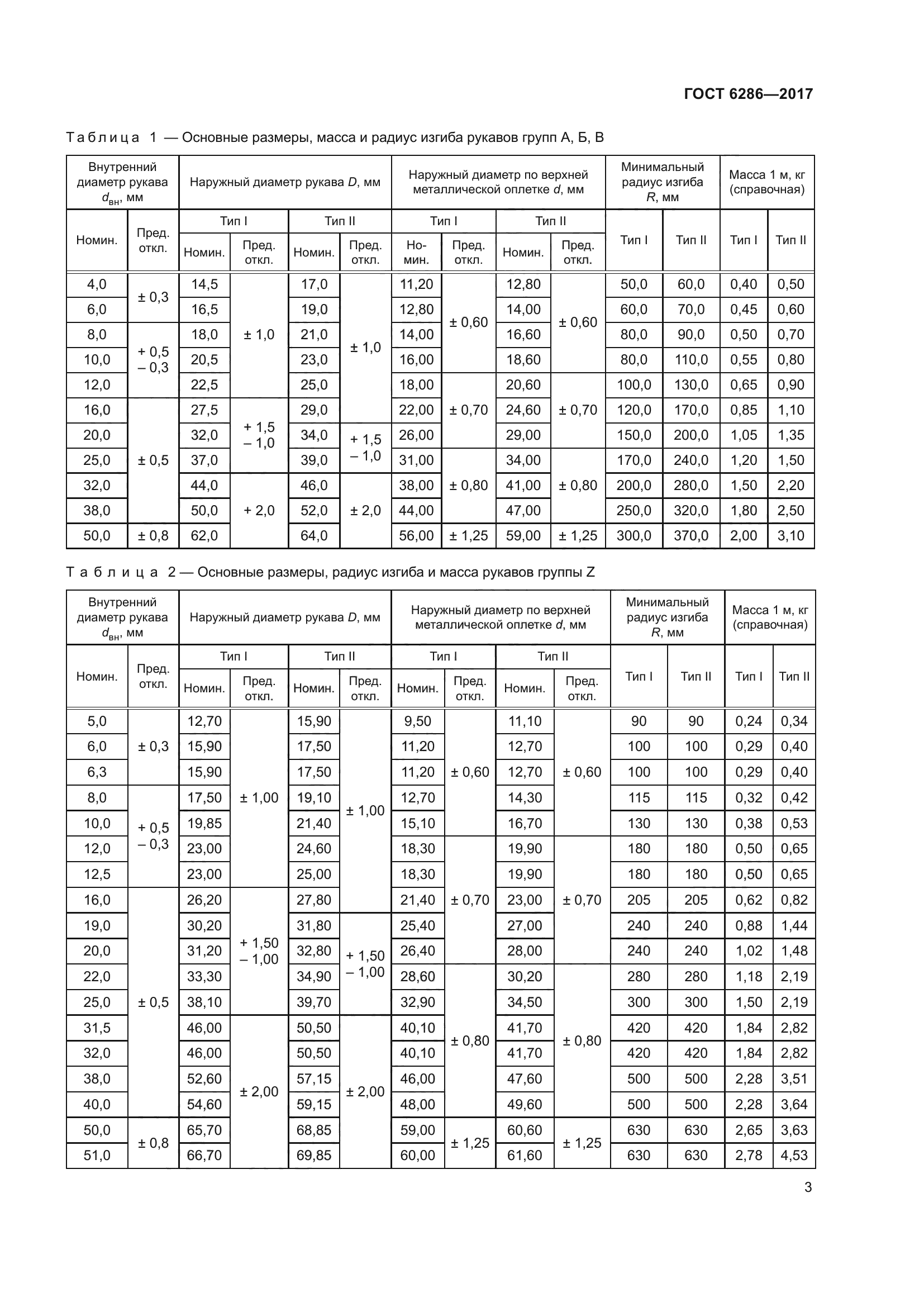
| Область применения: | Настоящий стандарт распространяется на резиновые рукава высокого давления оплеточной конструкции с металлическими оплетками без концевой арматуры (далее – рукава), применяемые в качестве гибких трубопроводов для подачи под высоким давлением жидкостей и работоспособные в районах с умеренным и тропическим климатом при температуре окружающего воздуха от минус 50 °С до плюс 70 °С, а также в районах с холодным климатом при температуре от минус 60 °С до плюс 70 °С |
| Приложение №1: | Поправка к ГОСТ 6286-2017 |
| Приложение №2: | Поправка к ГОСТ 6286-2017 |
| Расположен в: | |






















| Обозначение: | Поправка к ГОСТ 6286-2017 |
| Дата введения: | 30.12.2021 |

| Обозначение: | Поправка к ГОСТ 6286-2017 |
| Дата введения: | 09.11.2022 |
