| ||||||||||||||||||||||||||||||||||||||
Скачать ГОСТ 5341-2016 Изделия огнеупорные для футеровки сталеразливочных ковшей. Технические условияДата актуализации: 01.06.2025
| ||||||||||||||||||||||||||||||||||||||
| Обозначение: | ![]() ГОСТ 5341-2016 |
| Статус: | действующий |
| Название рус.: | Изделия огнеупорные для футеровки сталеразливочных ковшей. Технические условия |
| Название англ.: | Refractories for linings of steel-teeming ladles. Specifications |
| Дата актуализации текста: | 01.01.2021 |
| Дата актуализации описания: | 01.07.2023 |
| Дата регистрации: | 29.02.2016 |
| Дата издания: | 30.08.2016 |
| Дата введения: | 01.01.2017 |
| Взамен: | ГОСТ 5341-98 |
| Нормативные ссылки: | ГОСТ 12.1.005-88; ГОСТ 12.1.007-76; ГОСТ 12.3.009-76; ГОСТ 12.4.010-75; ГОСТ 12.4.253-2013; ГОСТ 17.0.0.01-76; ГОСТ 17.2.3.02-2014; ГОСТ 2409-2014; ГОСТ 2642.0-2014; ГОСТ 2642.3-2014; ГОСТ 2642.4-2014; ГОСТ 2642.5-2016; ГОСТ 2642.8-97; ГОСТ 2642.11-97; ГОСТ 2642.15-97; ГОСТ 3560-73; ГОСТ 4069-69; ГОСТ 4070-2014; ГОСТ 4071.1-94; ГОСТ 5402.1-2000; ГОСТ 7875.0-94; ГОСТ 7875.1-94; ГОСТ 7933-89; ГОСТ 8179-98; ГОСТ 9078-84; ГОСТ 9142-2014; ГОСТ 24717-2004; ГОСТ 25951-83; ГОСТ 26381-84; ГОСТ 28833-2016; ГОСТ 28874-2004; ГОСТ 30762-2001; ГОСТ 30771-2001 |
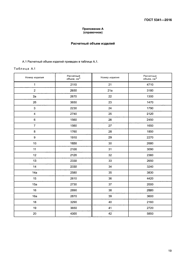
| Область применения: | Настоящий стандарт распространяется на огнеупорные изделия (кремнеземистые, алюмосиликатные и оксидоуглеродистые), предназначенные для футеровки сталеразливочных ковшей (далее - изделия) |
| Приложение №1: | Поправка к ГОСТ 5341-2016 |
| Расположен в: | |



























| Обозначение: | Поправка к ГОСТ 5341-2016 |
| Дата введения: | 28.10.2019 |
