| ||||||||||||||||||||||||||||||
Скачать ГОСТ Р 56153-2014 Аналоговые радиостанции. Основные параметры. Технические требованияДата актуализации: 01.06.2025
| ||||||||||||||||||||||||||||||
| Обозначение: | ![]() ГОСТ Р 56153-2014 |
| Статус: | действующий |
| Название рус.: | Аналоговые радиостанции. Основные параметры. Технические требования |
| Название англ.: | Analog radio stations. Basic parameters. Technical requirements |
| Дата актуализации текста: | 01.01.2021 |
| Дата актуализации описания: | 01.07.2023 |
| Дата издания: | 29.06.2020 |
| Дата введения: | 01.09.2015 |
| Код ОКП: | 657100 |
| Нормативные ссылки: | ГОСТ 12.1.003-83; ГОСТ 12.2.007.0-75; ГОСТ 5237-83; ГОСТ 16019-2001; ГОСТ 30429-96; ГОСТ 30804.4.2-2013; ГОСТ 30804.4.3-2013; ГОСТ 30804.4.11-2013; ГОСТ 30805.22-2013; ГОСТ Р 50829-95; ГОСТ Р 51317.4.4-2007; ГОСТ Р 51317.4.5-99; ГОСТ Р 51317.4.6-99 |
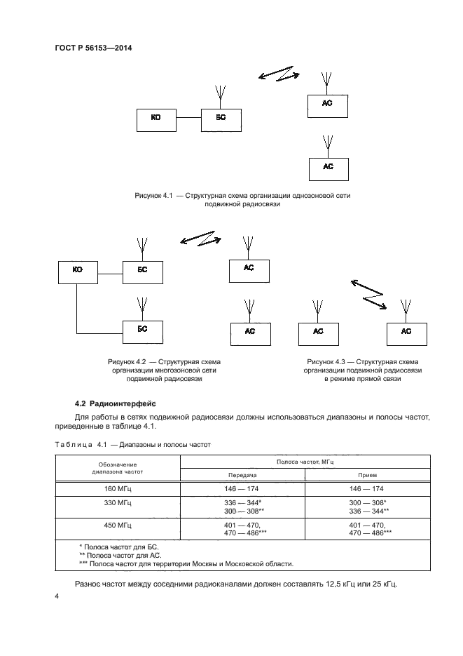
| Область применения: | Настоящий стандарт распространяется на базовые станции (БС) и абонентские радиостанции (АС) с угловой модуляцией (фазовой или частотной) с разносом частот между соседними каналами 12,5 и 25 кГц. Настоящий стандарт устанавливает требования к указанному оборудованию в части параметров радиоинтерфейса, электромагнитной совместимости, устойчивости к внешним воздействиям и безопасности |
| Расположен в: | |






























