| Обозначение: |  ГОСТ Р 25645.160-94 |
| Статус: | действующий |
| Название рус.: | Модель электромагнитной обстановки в околоземном пространстве |
| Название англ.: | Model of electromagnetic situation in near-earth space |
| Дата актуализации текста: | 06.04.2015 |
| Дата актуализации описания: | 01.07.2023 |
| Дата издания: | 01.02.1995 |
| Дата введения: | 01.07.1995 |
| Нормативные ссылки: | ГОСТ 24375-80; ГОСТ 25645.103-84; ГОСТ 25645.109-84; ГОСТ 25645.111-84; ГОСТ 25645.146-89 |
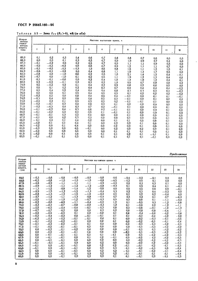
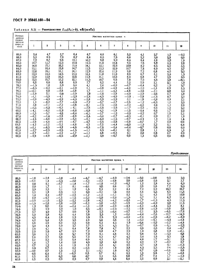
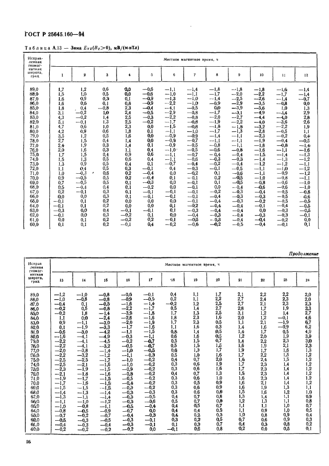
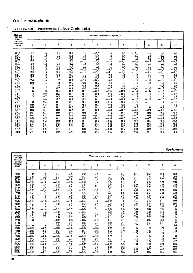
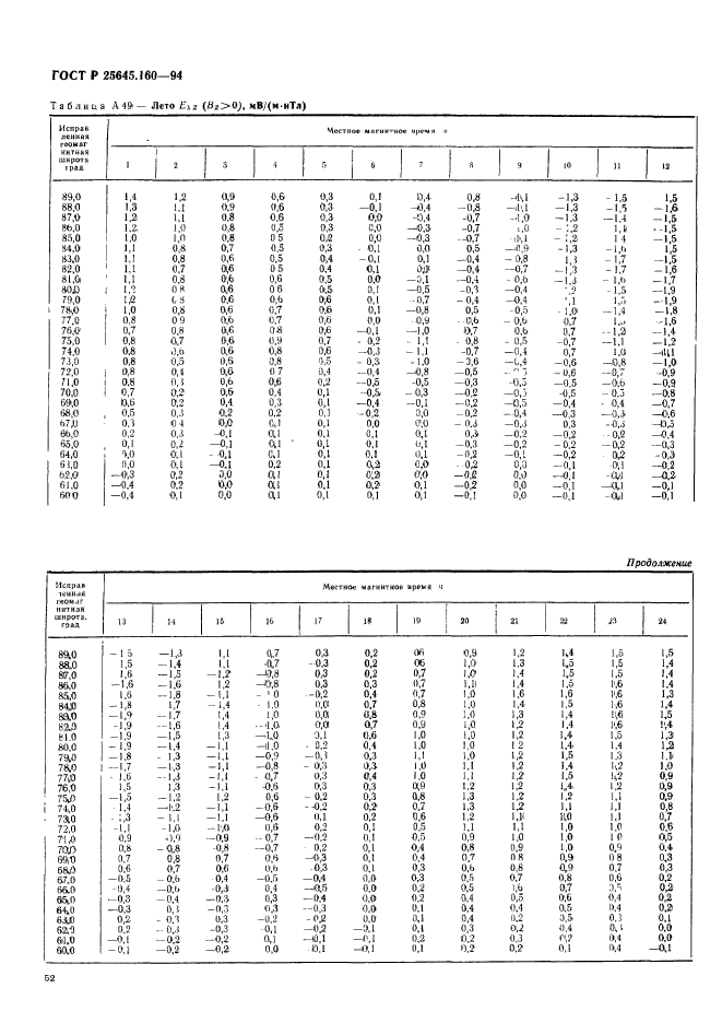
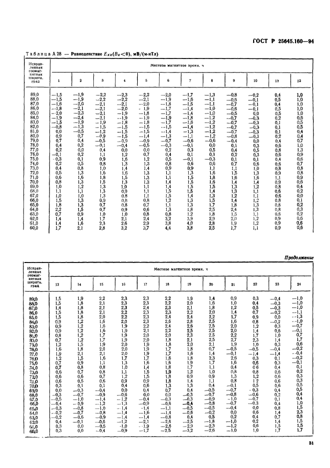
| Область применения: | Настоящий стандарт устанавливает модель распределения средних значений компонентов векторов электрического поля и продольного тока в высоких широтах на высоте слоя E ионосферы для любого времени суток, различных сезонов года и для различных условий в межпланетном магнитном поле. Стандарт предназначен для оценки электромагнитного состояния магнитосферы Земли, а также для оценки воздействия электрического поля на параметры ионосферы и технические устройства, функционирующие в околоземном пространстве. Стандарт не распространяется на периоды магнитосферных суббурь и бурь |
|
| Расположен в: |
|