| Обозначение: |  ГОСТ Р 25645.337-94 |
| Статус: | действующий |
| Название рус.: | Радиосистемы космических аппаратов. Радиофизическая модель околосолнечной плазмы |
| Название англ.: | The radiosystems of cosmic apparatus. The radiophysical model of the solar plasma |
| Дата актуализации текста: | 06.04.2015 |
| Дата актуализации описания: | 01.07.2023 |
| Дата издания: | 19.01.1995 |
| Дата введения: | 01.07.1995 |
| Код ОКП: | 670000 |
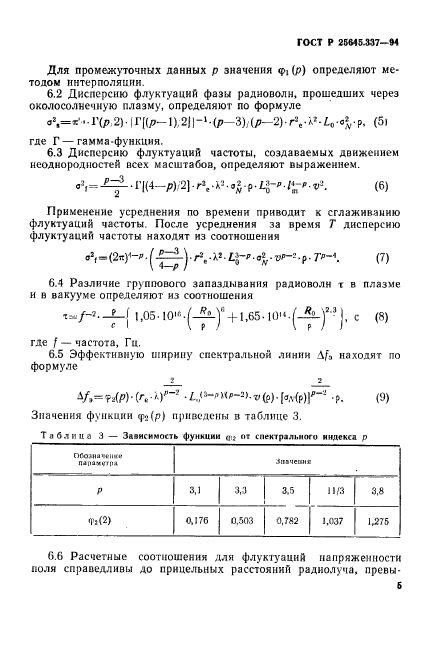
| Область применения: | Настоящий стандарт устанавливает радиофизическую модель, описывающую влияние околосолнечной плазмы на проходящие через нее радиосигналы в диапазоне длин волн 3-30 см. Стандарт предназначен для расчета радиосистем, обеспечивающих связь, навигацию и траекторные измерения космических аппаратов, движущихся по околосолнечной орбите |
|
| Расположен в: |
|