| Обозначение: |  ГОСТ 8283-93 |
| Статус: | действующий |
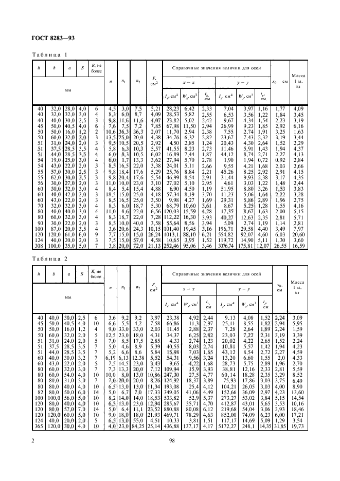
| Название рус.: | Профили стальные гнутые корытные равнополочные. Сортамент |
| Название англ.: | Bent steel hat equal sections. Dimensions |
| Дата актуализации текста: | 06.04.2015 |
| Дата актуализации описания: | 01.01.2021 |
| Дата регистрации: | 17.02.1993 |
| Дата издания: | 01.04.2003 |
| Дата введения: | 01.01.1997 |
| Код ОКП: | 112000 |
| Взамен: | ГОСТ 8283-77 |
| Область применения: | Настоящий стандарт распространяется на стальные гнутые корытные равнополочные профили, изготовляемые на профилегибочных агрегатах из холоднокатаного и горячекатаного листового проката из стали углеродистой обыкновенного качества, углеродистой качественной конструкционной и низколегированной |
|
| Расположен в: |
|