| Обозначение: |  ГОСТ Р 72041-2025 |
| Статус: | принят |
| Название рус.: | Классификация работ в строительстве. Общие положения |
| Название англ.: | Classification of construction works. General regulations |
| Дата актуализации текста: | 01.06.2025 |
| Дата актуализации описания: | 01.06.2025 |
| Дата издания: | 12.05.2025 |
| Дата введения: | 01.08.2025 |
| Нормативные ссылки: | ГОСТ Р 10.0.05-2019;ОК 029;ОК 034 |
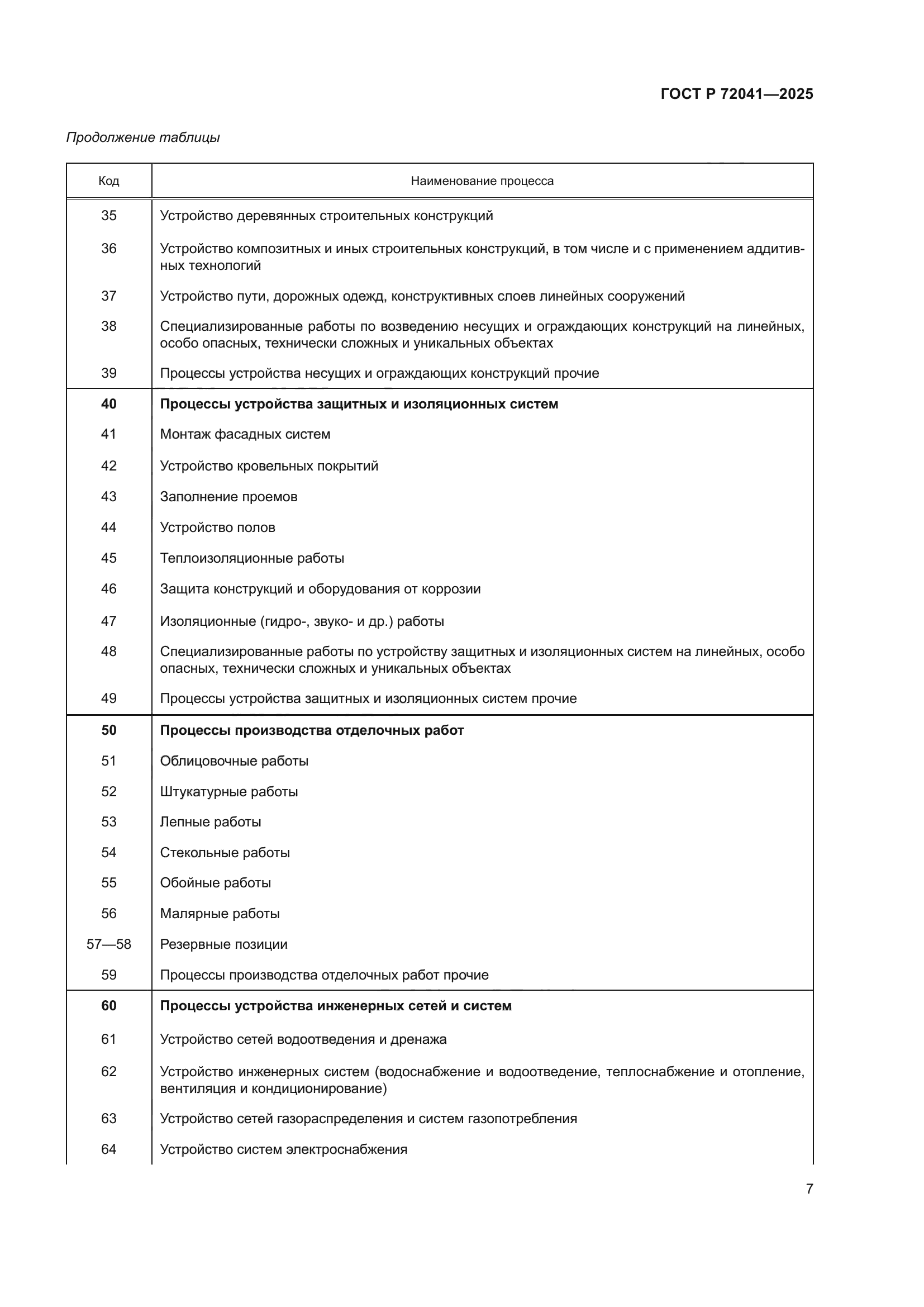
| Область применения: | Настоящий стандарт устанавливает объекты стандартизации и общие положения в части классификации работ, выполняемых на объектах капитального строительства. Стандарт распространяется на работы, выполняемые при строительстве, реконструкции, капитальном ремонте и сносе зданий и сооружений. В стандарте установлена схема классификации, отражающая особенности производства строительных работ, исходя из принятых группировок процессов производства работ и назначения объектов капитального строительства |
|
| Расположен в: |
|