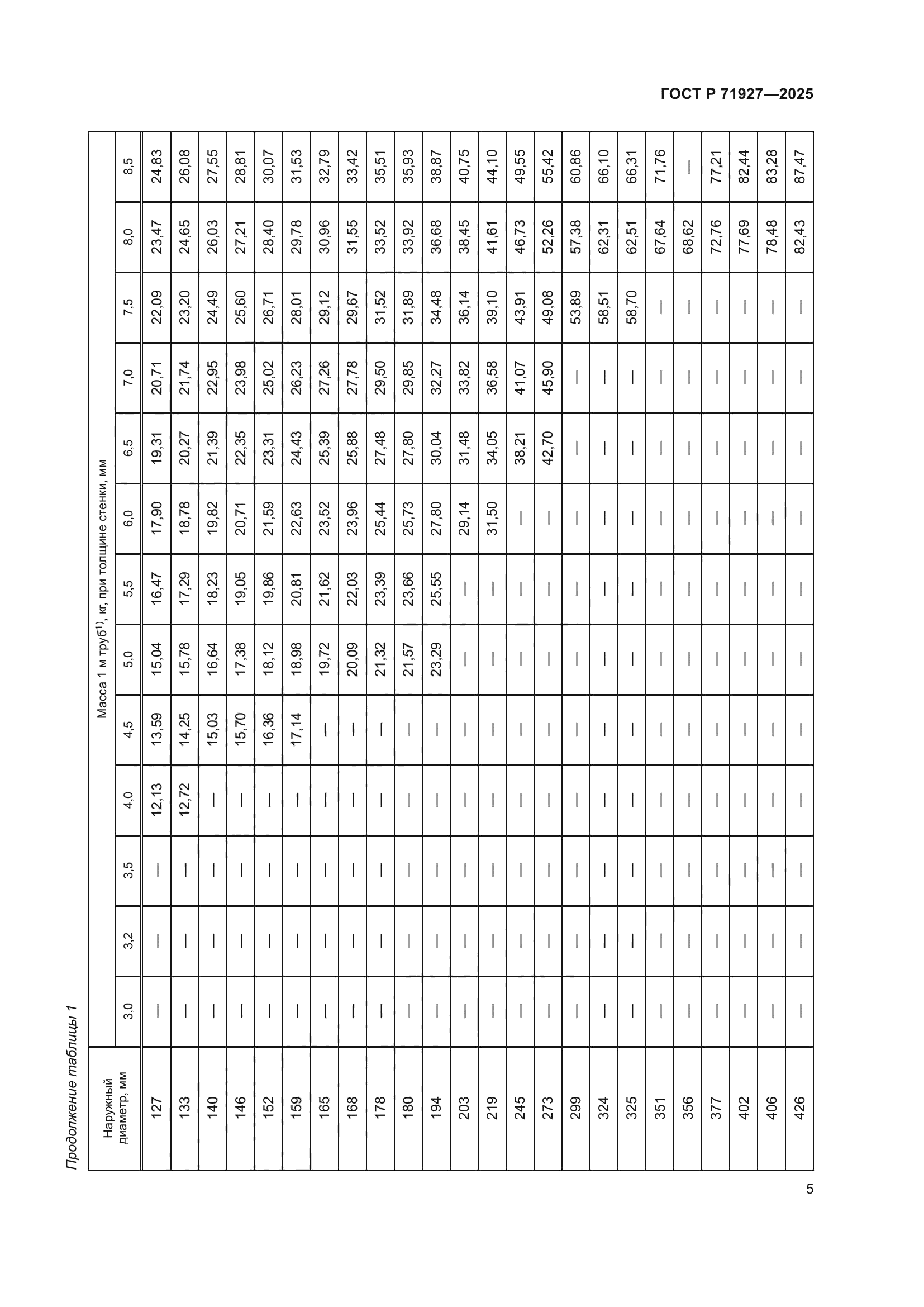
| ||||||||||||||||||||||||||||
Скачать ГОСТ Р 71927-2025 Трубы стальные бесшовные для транспортирования газообразного водорода. Технические условияДата актуализации: 01.06.2025
| ||||||||||||||||||||||||||||
| Обозначение: | ![]() ГОСТ Р 71927-2025 |
| Статус: | принят |
| Название рус.: | Трубы стальные бесшовные для транспортирования газообразного водорода. Технические условия |
| Название англ.: | Seamless steel pipes for transportation of hydrogen gas. Technical specifications |
| Дата актуализации текста: | 01.06.2025 |
| Дата актуализации описания: | 01.06.2025 |
| Дата издания: | 27.02.2025 |
| Дата введения: | 01.06.2025 |
| Нормативные ссылки: | ГОСТ 166; ГОСТ 427; ГОСТ 1497; ГОСТ 1778-2022; ГОСТ 2216; ГОСТ 2999; ГОСТ 3728; ГОСТ 3845; ГОСТ 4543-2016; ГОСТ 5639; ГОСТ 6507; ГОСТ 7502; ГОСТ 7565; ГОСТ 8026; ГОСТ 8695; ГОСТ 9454; ГОСТ 10006; ГОСТ 10243; ГОСТ 10692; ГОСТ 11358; ГОСТ 16504; ГОСТ 18360; ГОСТ 18365; ГОСТ 28548; ГОСТ 30432; ГОСТ 31458; ГОСТ 33439; ГОСТ 34094;ГОСТ ISO 10893-3;ГОСТ ISO 10893-5;ГОСТ ISO 10893-8;ГОСТ ISO 10893-10;ГОСТ ISO 10893-12;СТ СЭВ 543 |
| Область применения: | Настоящий стандарт распространяется на бесшовные горячедеформированные и холоднодеформированные трубы из нелегированных и легированных сталей для транспортирования газообразного водорода, в т.ч. в составе смесей с природным газом при температуре эксплуатации от минус 45 °С до 200 °С, применяемые для наземной и подземной прокладки: межзаводских трубопроводов, технологических трубопроводов и трубопроводов распределительных сетей |
| Расположен в: | |































