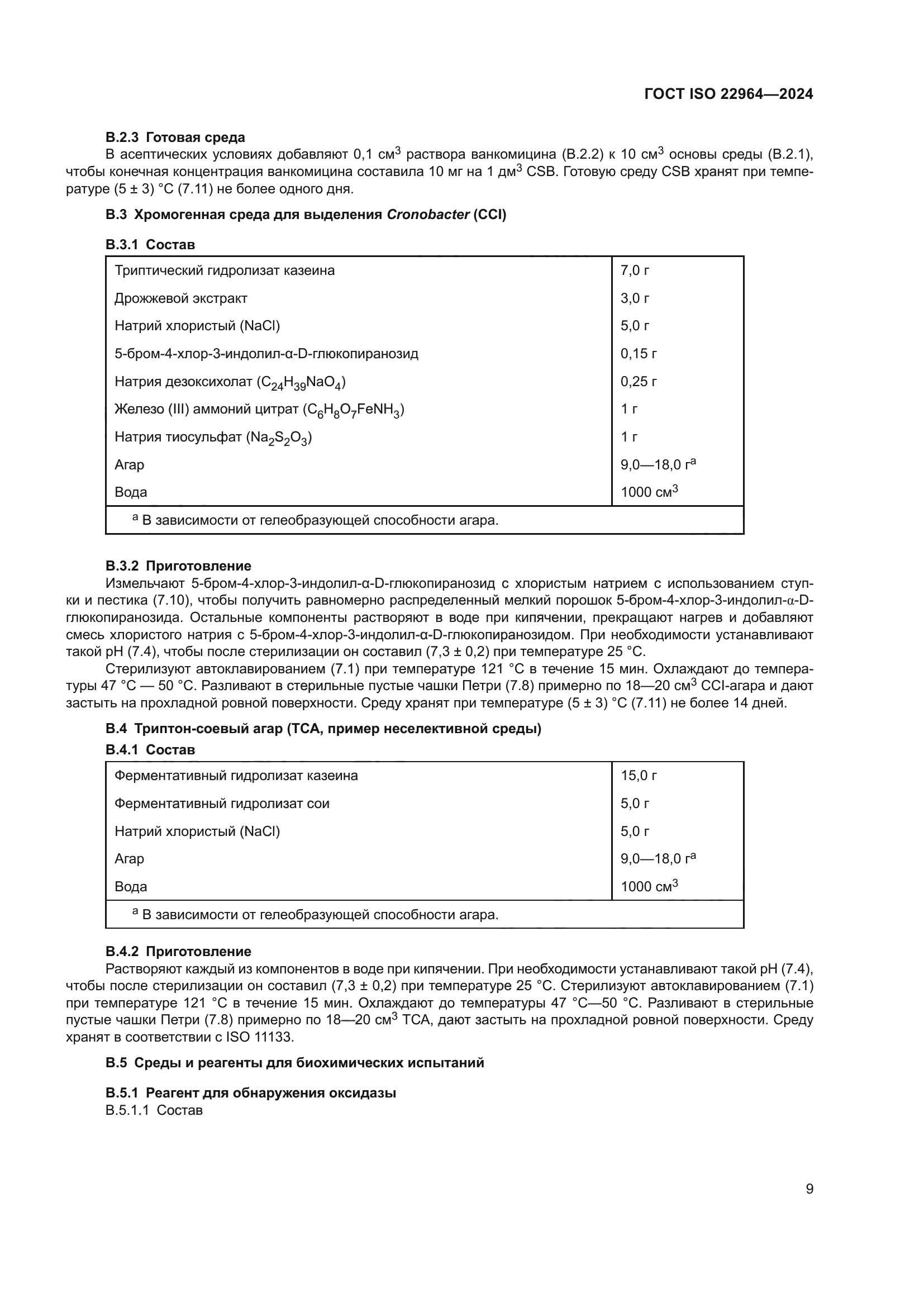
| Обозначение: |    ГОСТ ISO 22964-2024 | 
| Статус: | принят | 
| Название рус.: | Микробиология пищевой цепи. Горизонтальный метод обнаружения Cronobacter spp. | 
| Название англ.: | Microbiology of the food chain. Horizontal method for the detection of Cronobacter spp. | 
| Дата актуализации текста: | 01.06.2025 | 
| Дата актуализации описания: | 01.06.2025 | 
| Дата регистрации: | 31.10.2024 | 
| Дата издания: | 31.01.2025 | 
| Дата введения: | 01.11.2025 | 
| Взамен: | ГОСТ ISO/TS 22964-2013 | 
| Аутентичен стандартам: | ISO 22964:2017 | 
| Нормативные ссылки: | ISO 6887 (all parts);ISO 7218;ISO 11133 | 
| Область применения: | Настоящий стандарт устанавливает горизонтальный метод обнаружения Cronobacter spp. Настоящий стандарт распространяется на следующие объекты: - пищевые продукты и ингредиенты, предназначенные для потребления человеком и кормления животных, - образцы окружающей среды из зоны производства и переработки пищевых продуктов | 
 | 
| Расположен в: | 
  |