| Обозначение: |  ГОСТ Р 71840-2024 |
| Статус: | действующий |
| Название рус.: | Информационные технологии. Интернет вещей. Требования к платформе обмена данными для различных служб интернета вещей. Часть 1. Общие требования |
| Название англ.: | Information technology. Internet of things. Data exchange platform for IoT services. Part 1. General requirements |
| Дата актуализации текста: | 01.06.2025 |
| Дата актуализации описания: | 01.06.2025 |
| Дата издания: | 26.12.2024 |
| Дата введения: | 01.02.2025 |
| Содержит требования: | ISO/IEC 30161-1:2020 |
| Нормативные ссылки: | ГОСТ Р 59026; ГОСТ Р 70924; ГОСТ Р 71777 |
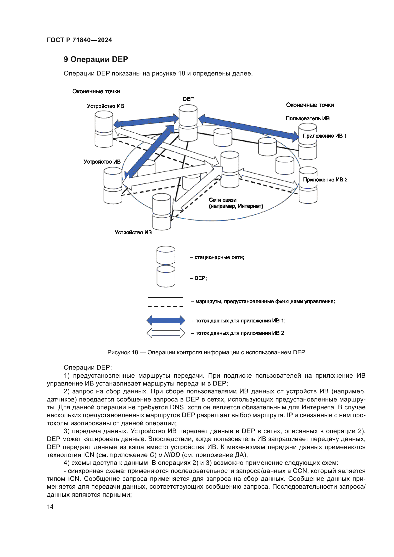
| Область применения: | Настоящий стандарт устанавливает требования к платформе обмена данными интернета вещей для различных служб. Платформа обмена данными интернета вещей (ИВ) состоит из компонентов промежуточного программного обеспечения, связанных с сетевыми функциями, включая сетевые конфигурации, механизмы связи и функциональные возможности компонентов для ИВ. Настоящий стандарт содержит рекомендации по внедрению указанных компонентов |
|
| Расположен в: |
|