| Обозначение: |  ГОСТ Р 71484.4-2024 |
| Статус: | действующий |
| Название рус.: | Искусственный интеллект. Качество данных для аналитики и машинного обучения. Часть 4. Структура процесса управления качеством данных |
| Название англ.: | Artificial intelligence. Data quality for analytics and machine learning. Part 4. Data quality process framework |
| Дата актуализации текста: | 01.06.2025 |
| Дата актуализации описания: | 01.06.2025 |
| Дата издания: | 03.12.2024 |
| Дата введения: | 01.01.2025 |
| Содержит требования: | ISO/IEC 5259-4:2024 |
| Нормативные ссылки: | ГОСТ Р 54995; ГОСТ Р 59926-2021; ГОСТ Р 71476; ГОСТ Р 71484.1; ГОСТ Р 71484.2; ГОСТ Р 71484.3; ГОСТ Р ИСО 2859-1; ГОСТ Р ИСО/МЭК 17826; ГОСТ Р ИСО/МЭК 19794-5 |
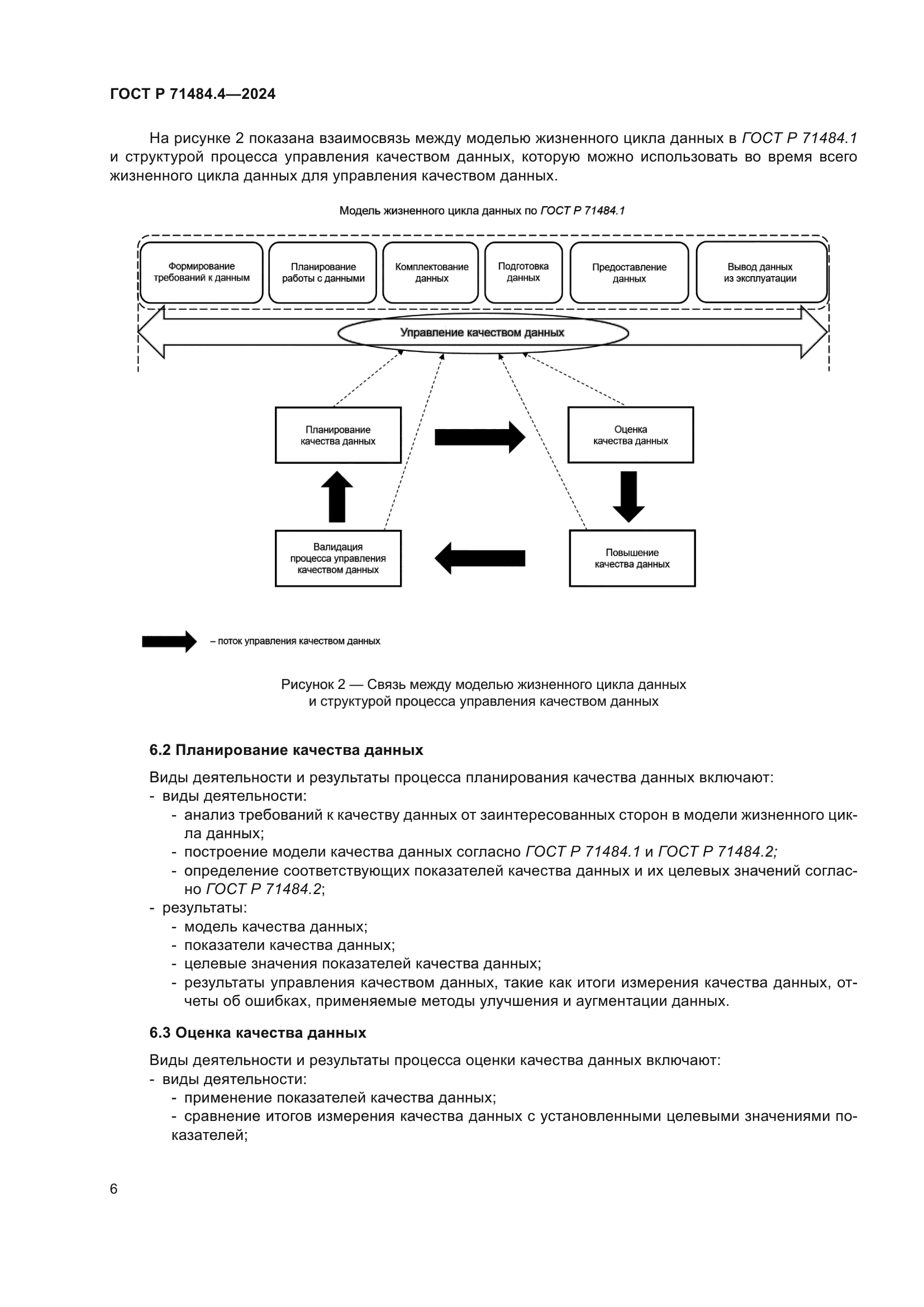
| Область применения: | Настоящий стандарт устанавливает общие организационные подходы, используемые независимо от типа, размера или характера организации, для обеспечения качества данных для обучения и оценки в области аналитики и машинного обучения. Стандарт включает в себя руководство по процессу управления качеством данных для: - машинного обучения с учителем; - машинного обучения без учителя; - машинного обучения с частичным привлечением учителя; - аналитики |
|
| Расположен в: |
|