| Обозначение: |  ГОСТ Р 71476-2024 |
| Статус: | действующий |
| Название рус.: | Искусственный интеллект. Концепции и терминология искусственного интеллекта |
| Название англ.: | Artificial intelligence. Artificial intelligence concepts and terminology |
| Дата актуализации текста: | 01.12.2024 |
| Дата актуализации описания: | 01.01.2025 |
| Дата издания: | 19.11.2024 |
| Дата введения: | 01.01.2025 |
| Содержит требования: | ISO/IEC 22989:2022 |
| Нормативные ссылки: | ГОСТ Р ИСО/МЭК 20000-1-2021 |
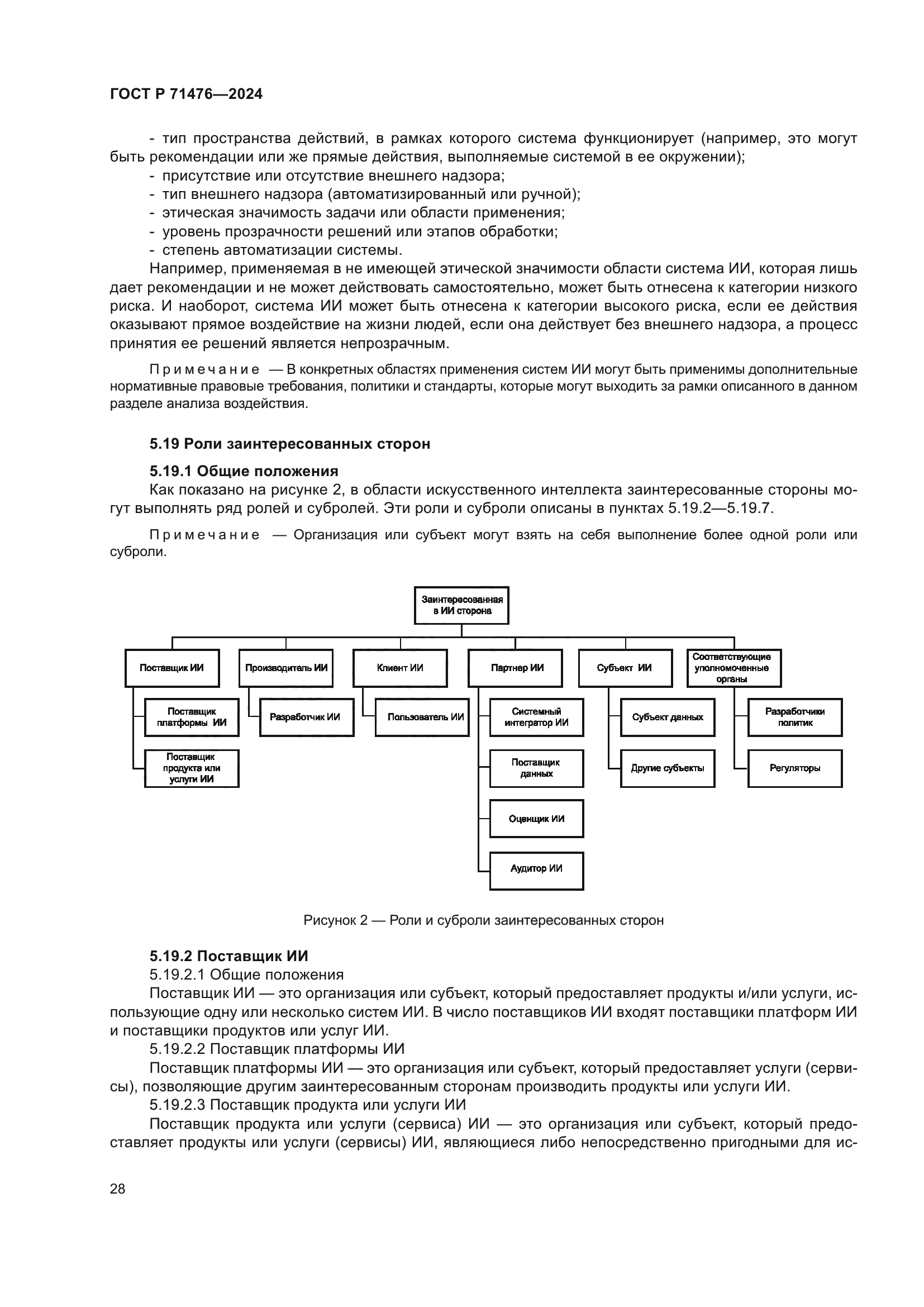
| Область применения: | Настоящий стандарт определяет терминологию и описывает концепции в области искусственного интеллекта. Данный стандарт можно использовать при разработке других стандартов и для поддержки обмена информацией между различными заинтересованными сторонами. Данный стандарт применим в организациях любого типа, например, в коммерческих организациях, в государственных учреждениях, в некоммерческих организациях |
|
| Расположен в: |
|