| Обозначение: |  ГОСТ Р 71484.1-2024 |
| Статус: | действующий |
| Название рус.: | Искусственный интеллект. Качество данных для аналитики и машинного обучения. Часть 1. Обзор, терминология и примеры |
| Название англ.: | Artificial intelligence. Data quality for analytics and machine learning. Part 1. Overview, terminology and examples |
| Дата актуализации текста: | 01.12.2024 |
| Дата актуализации описания: | 01.01.2025 |
| Дата издания: | 08.11.2024 |
| Дата введения: | 01.01.2025 |
| Содержит требования: | ISO/IEC 5259-1:2024 |
| Нормативные ссылки: | ГОСТ Р ИСО/МЭК 27001-2021; ГОСТ Р 54911-2012; ГОСТ Р 70889-2023; ГОСТ Р 71476-2024; ГОСТ Р 71484.2-2024; ГОСТ Р 71484.3-2024; ГОСТ Р 71484.4-2024 |
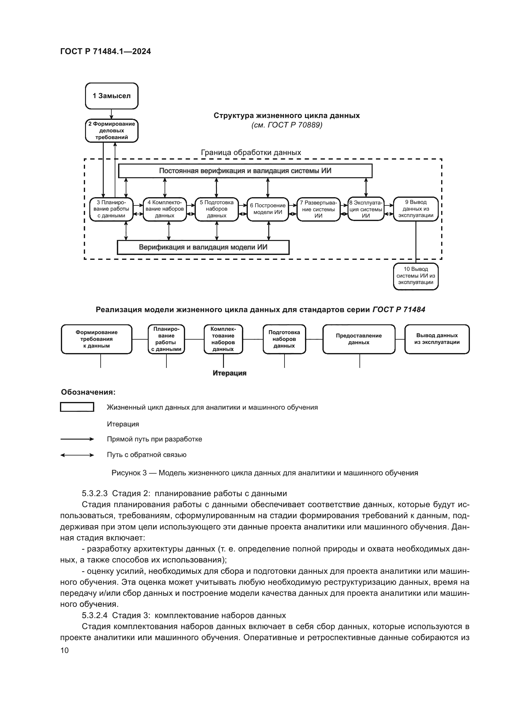
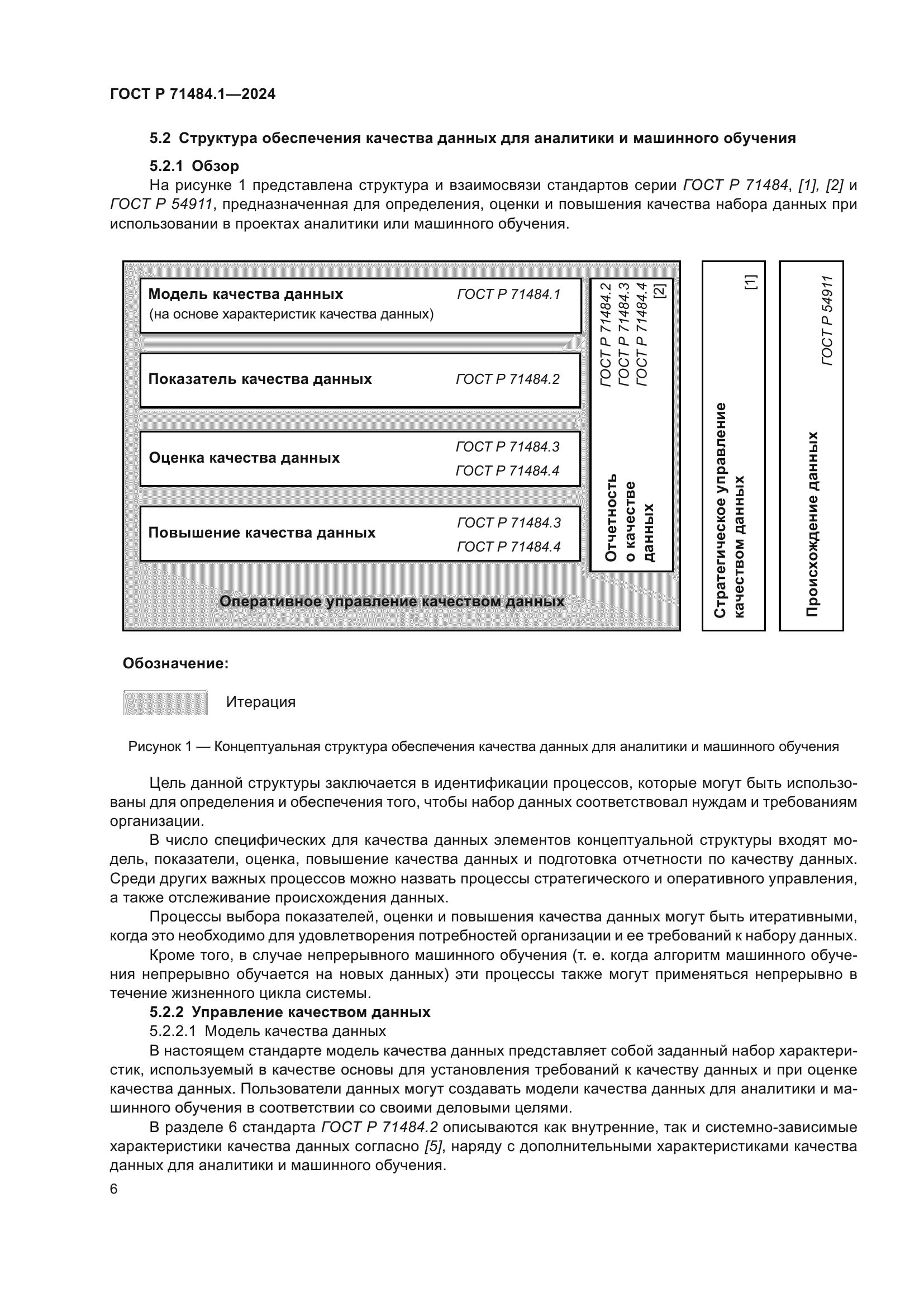
| Область применения: | Настоящий стандарт служит основой для концептуального понимания качества данных для аналитики и машинного обучения. В нем также приводятся взаимосвязанные технологии и примеры (например, варианты использования и сценарии применения) |
|
| Расположен в: |
|