| Обозначение: |  ГОСТ Р 54792-2024 |
| Статус: | действующий |
| Название рус.: | Дефекты в сварных соединениях термопластов. Описание и оценка |
| Название англ.: | Imperfections in thermoplastic welding joints. Descriptions and evaluation |
| Дата актуализации текста: | 01.12.2024 |
| Дата актуализации описания: | 01.12.2024 |
| Дата издания: | 01.11.2024 |
| Дата введения: | 01.11.2024 |
| Взамен: | ГОСТ Р 54792-2011 |
| Нормативные ссылки: | ГОСТ Р 55142; ГОСТ Р 59398 |
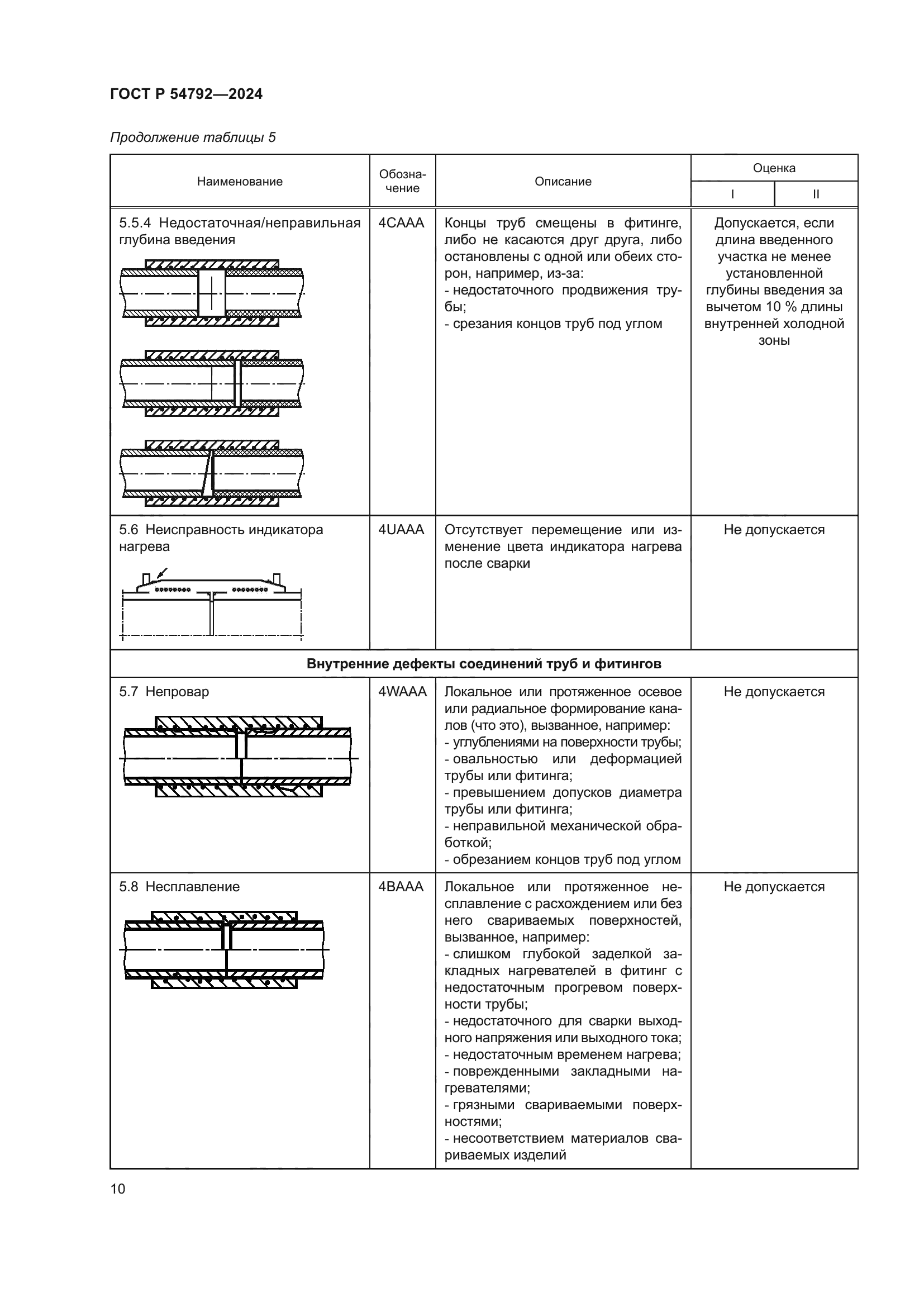
| Область применения: | Настоящий стандарт описывает дефекты в сварных соединениях термопластов и группирует их оценку по уровням I и II качества в зависимости от характеристик соединения. Настоящий стандарт устанавливает недопустимые дефекты и/или пределы допустимых отклонений (допуска) для допустимых дефектов для соответствующего уровня качества. Настоящий стандарт распространяется на процессы сварки термопластов в соответствии с таблицей 1 и термопласты в соответствии с таблицей 2 |
|
| Расположен в: |
|