| Обозначение: |  ГОСТ Р 71600-2024 |
| Статус: | принят |
| Название рус.: | Оптика и фотоника. Резьба метрическая для оптического приборостроения. Основные размеры и допуски |
| Название англ.: | Optics and photonics. Metric thread for optical instrument making. Basic dimensions and tolerances |
| Дата актуализации текста: | 01.12.2024 |
| Дата актуализации описания: | 01.12.2024 |
| Дата издания: | 19.09.2024 |
| Дата введения: | 01.09.2025 |
| Нормативные ссылки: | ГОСТ 11708 |
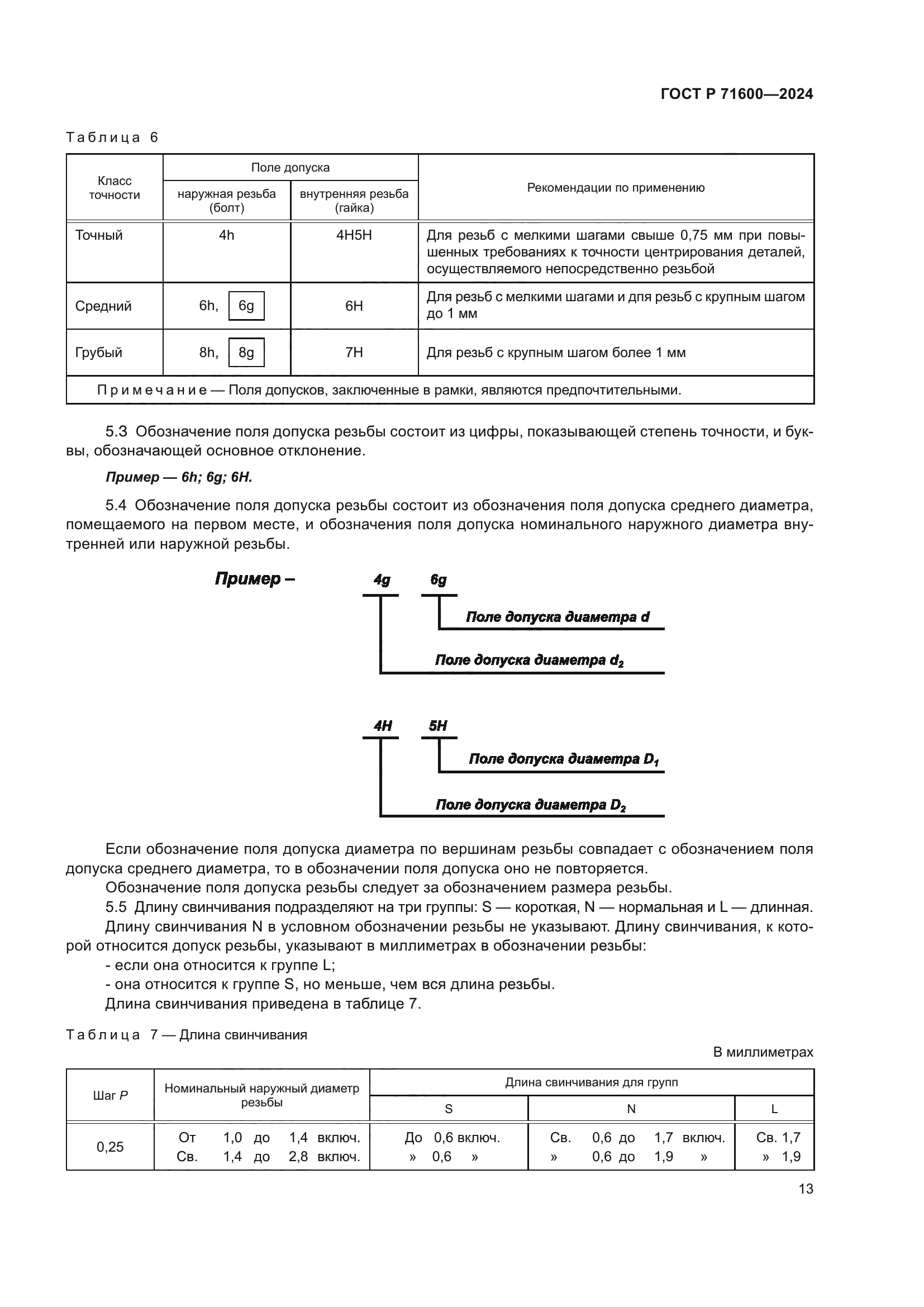
| Область применения: | Настоящий стандарт распространяется на метрические резьбы, применяемые при проектировании и изготовлении оптико-механических приборов. Стандарт устанавливает основные размеры, поля допусков и предельные отклонения метрической резьбы диаметром от 1 до 400 мм с шагами от 0,25 до 4 мм, а также обозначение резьбы в технической документации |
|
| Расположен в: |
|