| Обозначение: |    ГОСТ Р МЭК 62973-4-2024 | 
| Статус: | действующий | 
| Название рус.: | Транспорт железнодорожный. Состав подвижной. Батареи для электропитания систем вспомогательного оборудования. Часть 4. Никель-металлгидридные батареи. Технические требования | 
| Название англ.: | Railway applications. Rolling stock. Batteries for auxiliary power supply systems. Part 4. Nickel-metal hydride batteries. Technical requirements | 
| Дата актуализации текста: | 01.12.2024 | 
| Дата актуализации описания: | 01.01.2025 | 
| Дата издания: | 20.09.2024 | 
| Дата введения: | 01.01.2025 | 
| Аутентичен стандартам: | IEC 62973-4(2021) | 
| Нормативные ссылки: | IEC 60051 (all parts);IEC 60077-1;IEC 62485-2;IEC 62675;IEC 62902(2019);IEC 62973-1(2018);IEC 63115-1(2020);IEC 63115-2(2021) | 
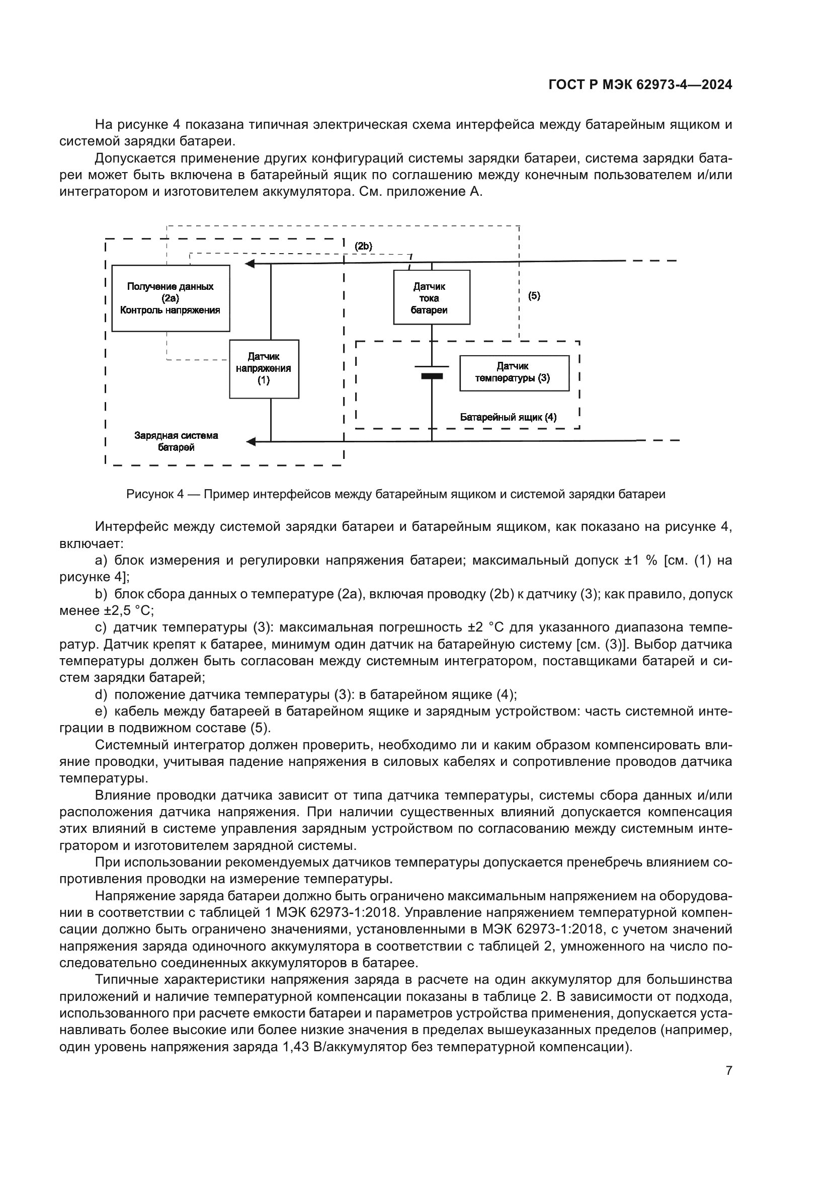
| Область применения: | Настоящий стандарт распространяется на никель-металлогидридные аккумуляторные батареи (далее – батареи) для электропитания систем вспомогательного оборудования всех типов подвижного состава железнодорожного транспорта (например, легкорельсового транспорта, трамваев, метро, пригородных поездов, высокоскоростных поездов, локомотивов и др.) и дополняет требования МЭК 62973-1 | 
 | 
| Расположен в: | 
  |