Информационная система
«Ёшкин Кот»

Скачать базу одним архивом
Скачать обновления
История создания базы
Карта сайта

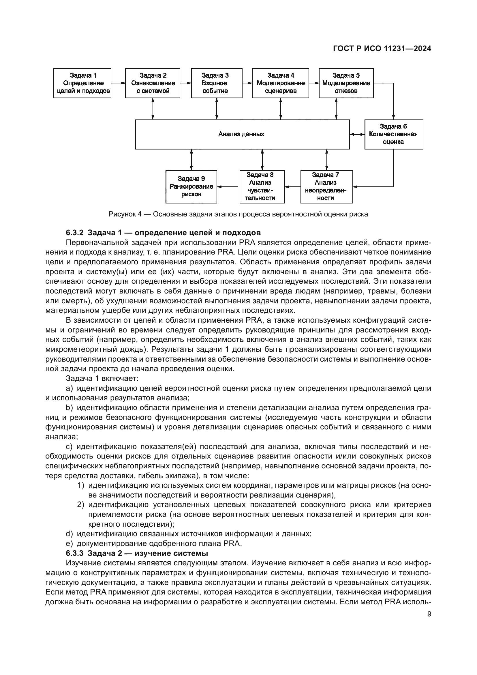
Скачать ГОСТ Р ИСО 11231-2024 Менеджмент риска. Метод вероятностной оценки риска на примере космических систем

Дата актуализации: 01.06.2025

ГОСТ Р ИСО 11231-2024

Менеджмент риска. Метод вероятностной оценки риска на примере космических систем

Обозначение: ГОСТ Р ИСО 11231-2024
Статус:действующий
Название рус.:Менеджмент риска. Метод вероятностной оценки риска на примере космических систем
Название англ.:Risk management. Probabilistic risk assessment method on example of space systems
Дата актуализации текста:01.12.2024
Дата актуализации описания:01.06.2025
Дата издания:29.08.2024
Дата введения:01.03.2025
Взамен:ГОСТ Р ИСО 11231-2013
Аутентичен стандартам:ISO 11231:2019
Нормативные ссылки:ISO 17666
Область применения:Настоящий стандарт обеспечивает выполнение требований к процессу менеджмента риска, установленных в ИСО 17666, и дополняет их в ситуациях, когда необходимо применение количественной оценки риска. В настоящем стандарте определены принципы, процесс, способы выполнения и требования к количественной оценке риска, а также приведено детальное описание метода PRA применительно к обеспечению безопасности. Метод PRA может применяться для менеджмента риска проекта, связанного со стоимостью и плановыми сроками, однако пояснение деталей такого использования не входит в область применения настоящего стандарта. В настоящем стандарте установлены основные требования и процедуры использования метода PRA для оценки безопасности или риска невыполнения проекта в области космических систем. Настоящий стандарт применим ко всем международным космическим проектам, предусматривающим: - разработку космических транспортных средств для перемещения людей в космическом пространстве; - разработку космических и внеземных планетарных обитаемых станций; - разработку космических средств выведения на орбиту, использующих для работы или транспортирующих ядерные материалы; - другие виды разработок в соответствии с требованиями руководства или потребителей
Расположен в:Государственные стандарты Общероссийский классификатор стандартов Авиационная и космическая техника Космические системы и операции
ГОСТ Р ИСО 11231-2024ГОСТ Р ИСО 11231-2024ГОСТ Р ИСО 11231-2024ГОСТ Р ИСО 11231-2024ГОСТ Р ИСО 11231-2024ГОСТ Р ИСО 11231-2024ГОСТ Р ИСО 11231-2024ГОСТ Р ИСО 11231-2024ГОСТ Р ИСО 11231-2024ГОСТ Р ИСО 11231-2024ГОСТ Р ИСО 11231-2024ГОСТ Р ИСО 11231-2024ГОСТ Р ИСО 11231-2024ГОСТ Р ИСО 11231-2024ГОСТ Р ИСО 11231-2024ГОСТ Р ИСО 11231-2024ГОСТ Р ИСО 11231-2024ГОСТ Р ИСО 11231-2024ГОСТ Р ИСО 11231-2024ГОСТ Р ИСО 11231-2024ГОСТ Р ИСО 11231-2024ГОСТ Р ИСО 11231-2024ГОСТ Р ИСО 11231-2024ГОСТ Р ИСО 11231-2024ГОСТ Р ИСО 11231-2024ГОСТ Р ИСО 11231-2024ГОСТ Р ИСО 11231-2024ГОСТ Р ИСО 11231-2024

© 2013 Ёшкин Кот :-) Карта сайта