| Обозначение: |  ГОСТ Р ИСО 22514-7-2024 |
| Статус: | действующий |
| Название рус.: | Статистические методы. Управление процессами. Часть 7. Воспроизводимость процессов измерений |
| Название англ.: | Statistical methods. Process management. Part 7. Capability of measurement processes |
| Дата актуализации текста: | 01.12.2024 |
| Дата актуализации описания: | 01.01.2025 |
| Дата издания: | 15.08.2024 |
| Дата введения: | 01.01.2025 |
| Взамен: | ГОСТ Р ИСО 22514-7-2014 |
| Аутентичен стандартам: | ISO 22514-7:2021 |
| Нормативные ссылки: | ISO 3534-1;ISO 3534-2;ISO 5725-1;ISO 5725-2;ISO 5725-3;ISO 5725-4;ISO 5725-5];ISO 5725-6;ISO/IEC Guide 98-3:2008 |
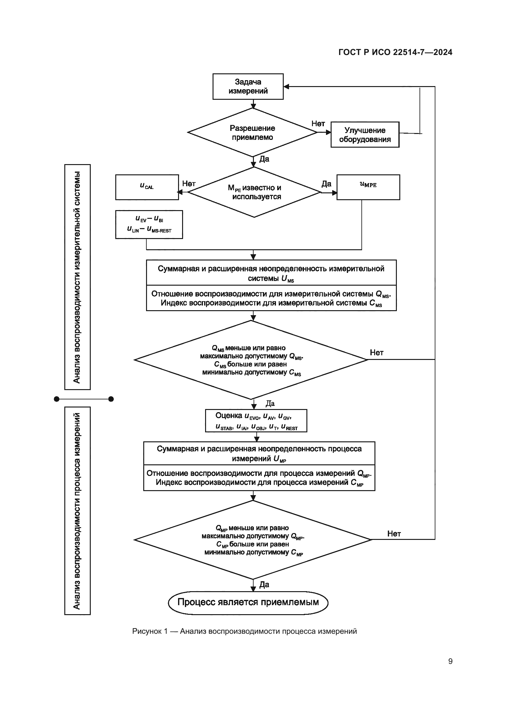
| Область применения: | В настоящем стандарте установлена процедура валидации измерительной системы и процесса измерений на соответствие установленной метрологической задачи с рекомендованным критерием приемки. Настоящий стандарт разработан в первую очередь для простых одномерных процессов измерений, для которых известно, что неопределенность метода и установленных требований мала по сравнению с неопределенностью выполнения измерений. Настоящий стандарт также может быть использован в похожих ситуациях, когда измеряемую величину используют для оценки воспроизводимости или пригодности процесса измерений, но его не следует применять в случае сложных геометрических измерений, таких как измерение текстуры поверхности и положения объекта, когда необходимо использовать несколько точек измерения или одновременные измерения в нескольких направлениях |
|
| Расположен в: |
|