| Обозначение: |  ГОСТ Р 71471-2024 |
| Статус: | действующий |
| Название рус.: | Экологические требования к объектам недвижимости. Повышение устойчивости среды обитания при строительстве на рекультивируемой территории. Общие требования |
| Название англ.: | Ecological requirements for estate properties. Increasing the sustainability of the habitat during construction on a reclaimed area. General requirements |
| Дата актуализации текста: | 01.12.2024 |
| Дата актуализации описания: | 01.01.2025 |
| Дата издания: | 08.08.2024 |
| Дата введения: | 01.01.2025 |
| Нормативные ссылки: | ГОСТ Р 113.16.01; ГОСТ Р 54135; ГОСТ Р 54964; ГОСТ Р 59401; ГОСТ Р ИСО 14001; ГОСТ Р ИСО 14044 |
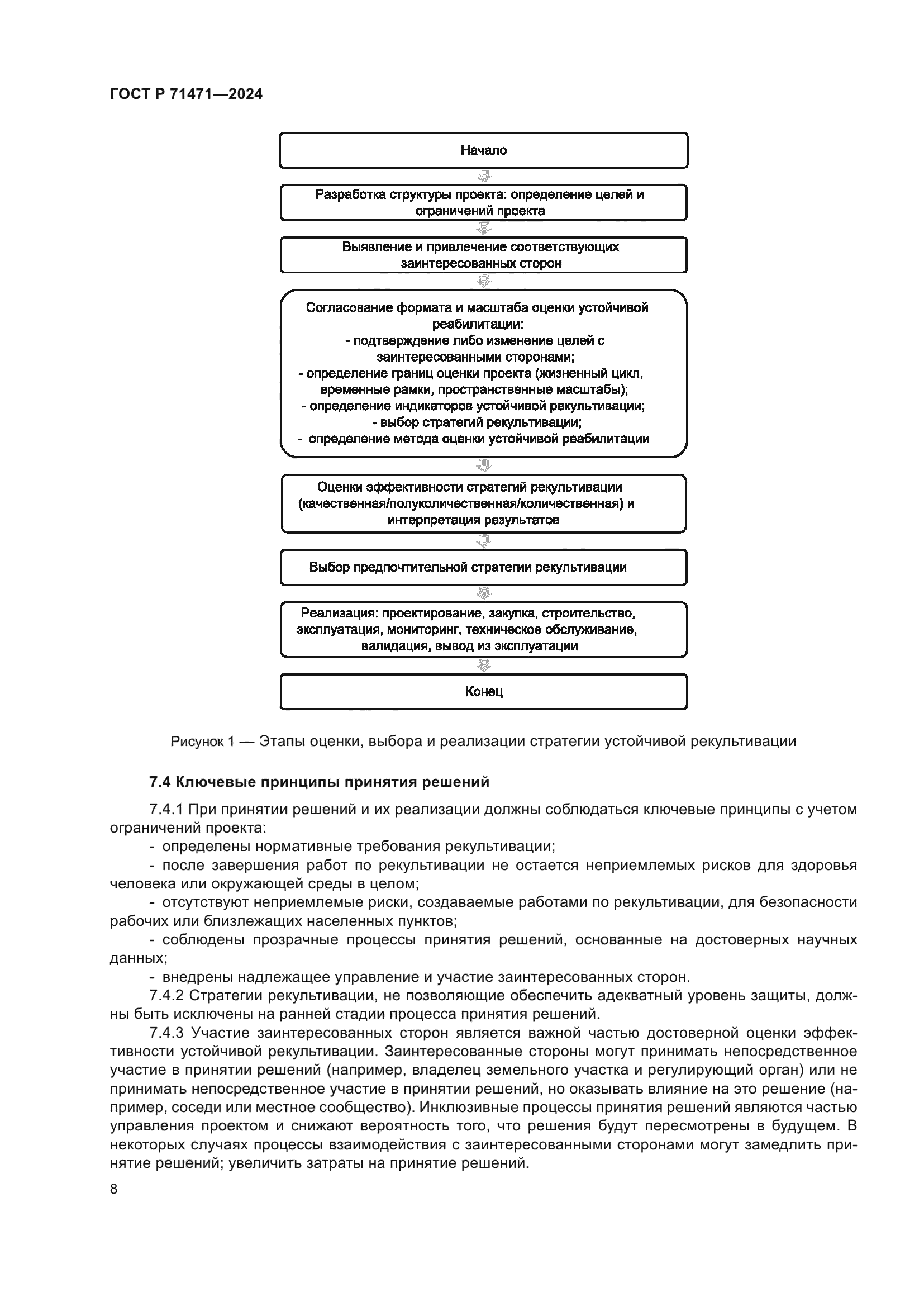
| Область применения: | Настоящий стандарт устанавливает экологические требования к застройке на загрязненной рекультивируемой территории с целью безопасного и своевременного устранения неприемлемых рисков с учетом энерго-экологического, социально-культурного и экономического аспектов устойчивого развития |
|
| Расположен в: |
|