| Обозначение: |  ГОСТ Р 71522-2024 |
| Статус: | действующий |
| Название рус.: | Оптика и фотоника. Винты для оптического приборостроения. Конструкция и размеры |
| Название англ.: | Optics and photonics. Screws for optical instrument making. Design and dimensions |
| Дата актуализации текста: | 01.12.2024 |
| Дата актуализации описания: | 01.01.2025 |
| Дата издания: | 01.08.2024 |
| Дата введения: | 01.01.2025 |
| Нормативные ссылки: | ГОСТ 1050; ГОСТ 1759.0; ГОСТ 4543; ГОСТ 10702 ; ГОСТ 11738; ГОСТ 15527; ГОСТ 16093; ГОСТ 19256; ГОСТ 21474; ГОСТ 24705; ГОСТ 27148;ГОСТ ISO 898-5;ГОСТ ISO 4759-1;ГОСТ ISO 6157-1 |
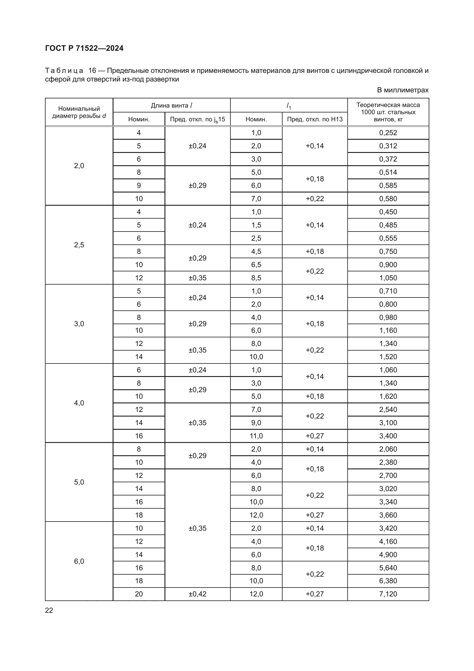
| Область применения: | Настоящий стандарт распространяется на винты для оптического приборостроения и устанавливает их конструкцию и размеры |
|
| Расположен в: |
|