| Обозначение: |  ГОСТ Р 71489-2024 |
| Статус: | действующий |
| Название рус.: | Единая энергетическая система и изолированно работающие энергосистемы. Релейная защита и автоматика. Дистанционная и токовые защиты линий электропередачи и оборудования классом напряжения 330 кВ и выше. Испытания |
| Название англ.: | United power system and isolated power systems. Relay protection and automation. Distance and overcurrent protection of power lines and utilities 330 kV and above. Testing |
| Дата актуализации текста: | 01.12.2024 |
| Дата актуализации описания: | 01.12.2024 |
| Дата издания: | 01.08.2024 |
| Дата введения: | 01.09.2024 |
| Нормативные ссылки: | ГОСТ Р 58601; ГОСТ Р 58886-2020 |
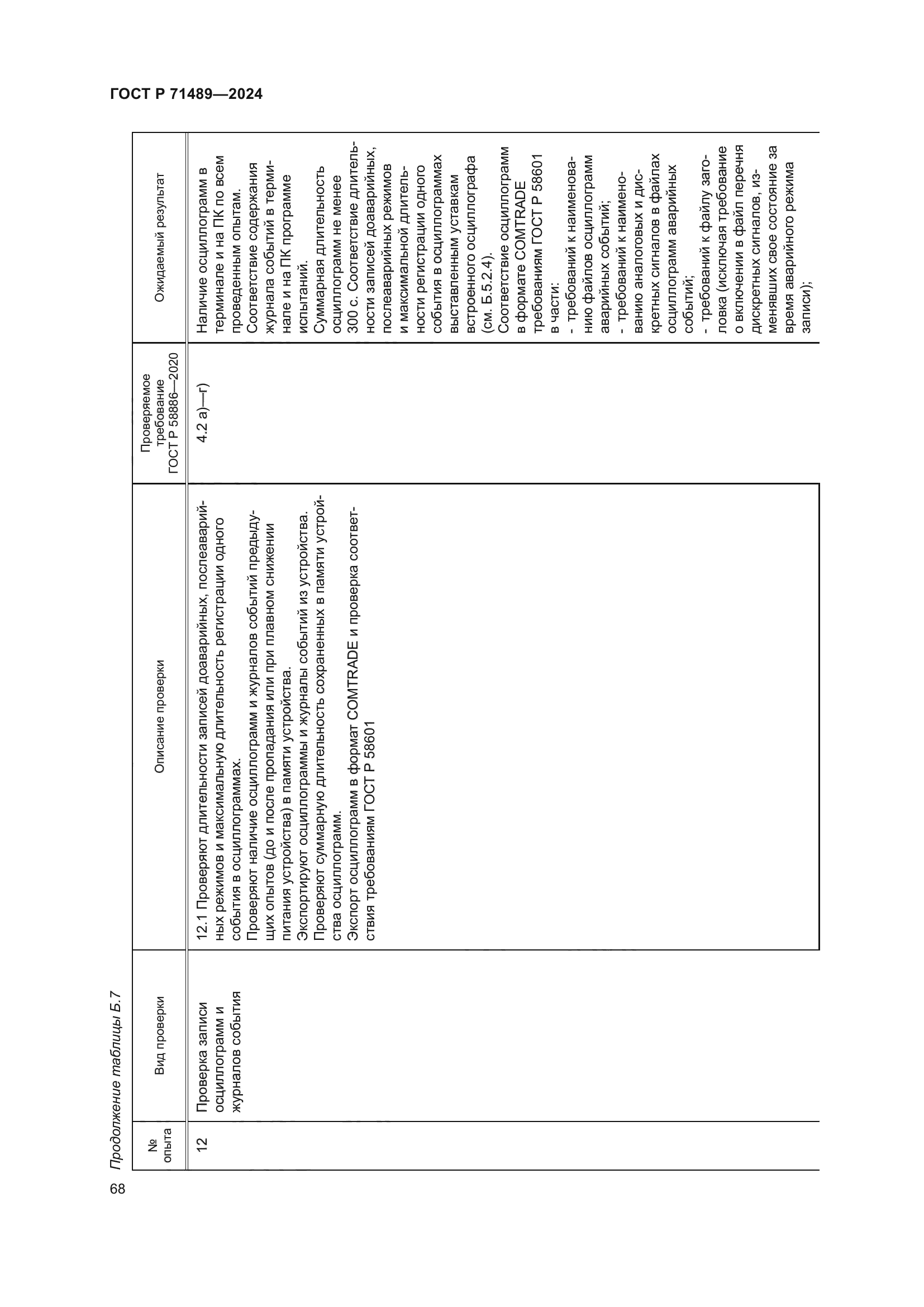
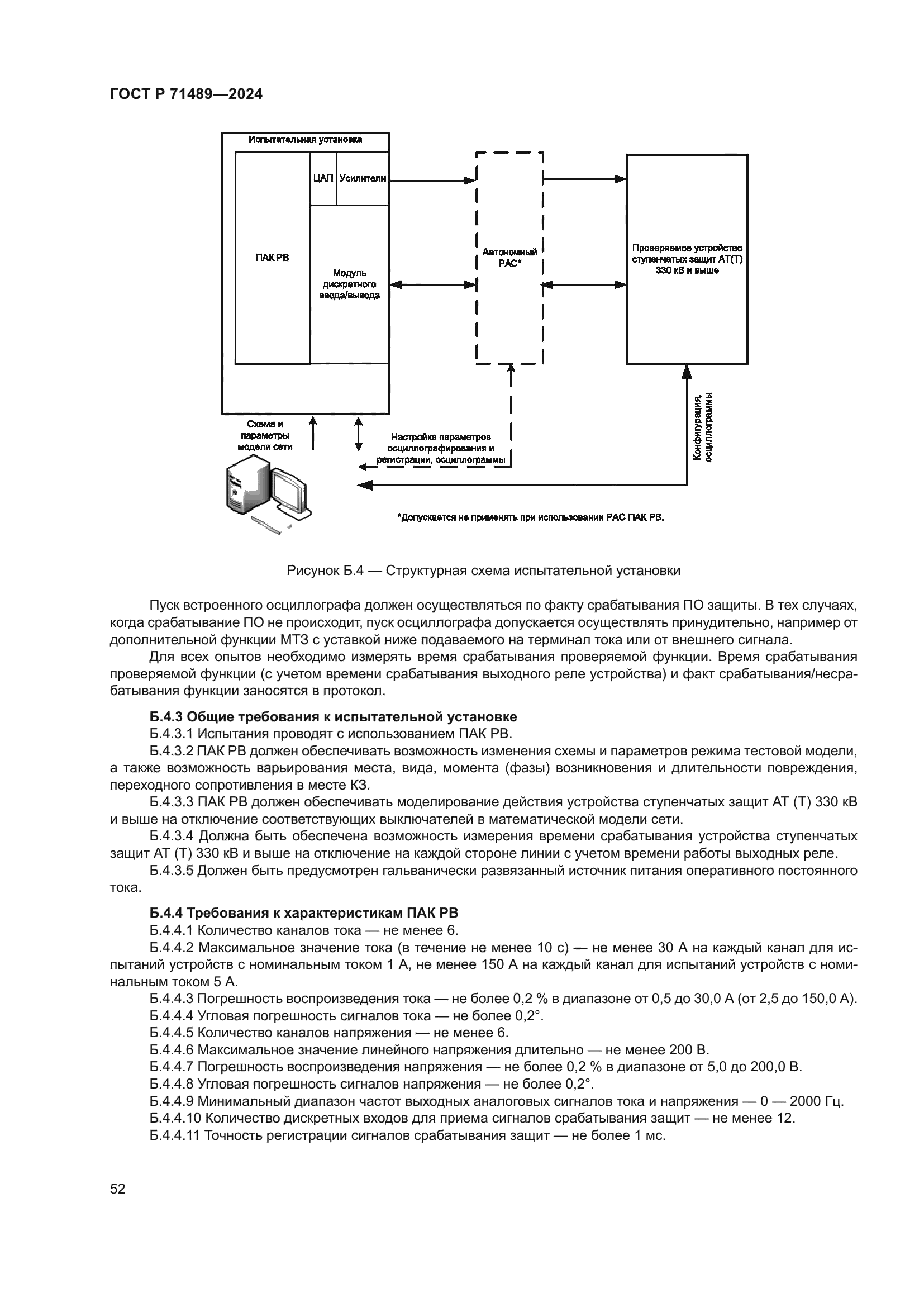
| Область применения: | Настоящий стандарт устанавливает порядок и методику проведения испытаний микропроцессорных устройств релейной защиты и автоматики, содержащих функции ступенчатых дистанционной и токовых защит линий электропередачи и автотрансформаторов (трансформаторов) классом напряжения 330 кВ и выше за исключением автотрансформаторов (трансформаторов) с односторонним питанием [далее – ступенчатые защиты ЛЭП (оборудования) 330 кВ и выше, если не требуется разделение], для подтверждения соответствия указанных устройств требованиям ГОСТ Р 58886 в части реализации в них функций ступенчатых защит ЛЭП (оборудования) 330 кВ и выше |
|
| Расположен в: |
|