| Обозначение: |  ГОСТ Р 71478-2024 |
| Статус: | действующий |
| Название рус.: | Фильтры электромеханические. Методы измерения группового времени замедления |
| Название англ.: | Electromechanical filters. Methods for measuring group delay time |
| Дата актуализации текста: | 01.12.2024 |
| Дата актуализации описания: | 01.06.2025 |
| Дата издания: | 23.07.2024 |
| Дата введения: | 01.03.2025 |
| Нормативные ссылки: | ГОСТ Р 57438; ГОСТ Р 70227 |
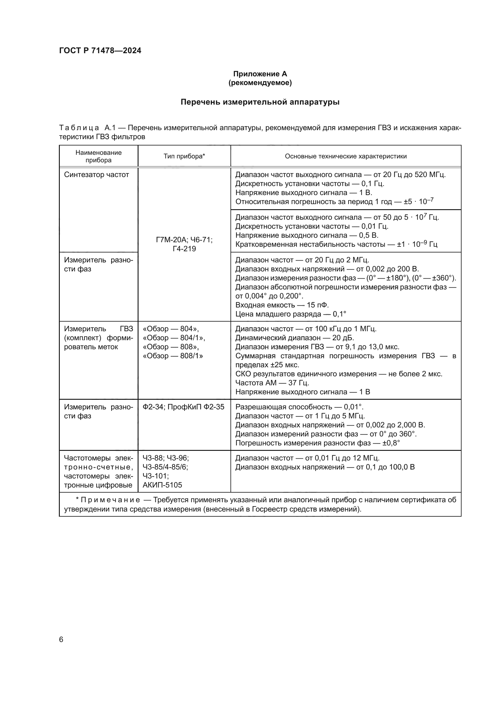
| Область применения: | Настоящий стандарт распространяется на электромеханические фильтры электромеханические (далее – фильтры) в диапазоне частот от 200 Гц до 2 МГц и устанавливает два метода измерения группового времени задержки (ГВЗ) и искажения характеристики ГВЗ: - метод 1 – по вносимому фазовому сдвигу; - метод 2 – по волновой огибающей амплитудно-модулированного сигнала (АМ-сигнала) для измерения на частотах более 0,1 МГц |
|
| Расположен в: |
|