| Обозначение: |  ГОСТ Р 71480-2024 |
| Статус: | действующий |
| Название рус.: | Приборы ферритовые сверхвысокой частоты. Методы измерения фазового сдвига на низком уровне мощности |
| Название англ.: | Microwave ferrite devices. Methods of measurement of phase shift at a low power level |
| Дата актуализации текста: | 01.12.2024 |
| Дата актуализации описания: | 01.06.2025 |
| Дата издания: | 17.07.2024 |
| Дата введения: | 01.03.2025 |
| Нормативные ссылки: | ГОСТ 8.351-79; ГОСТ Р 8.563-2009; ГОСТ Р 50730.4-95; ГОСТ Р 57391-2017; ГОСТ Р 70226-2022 |
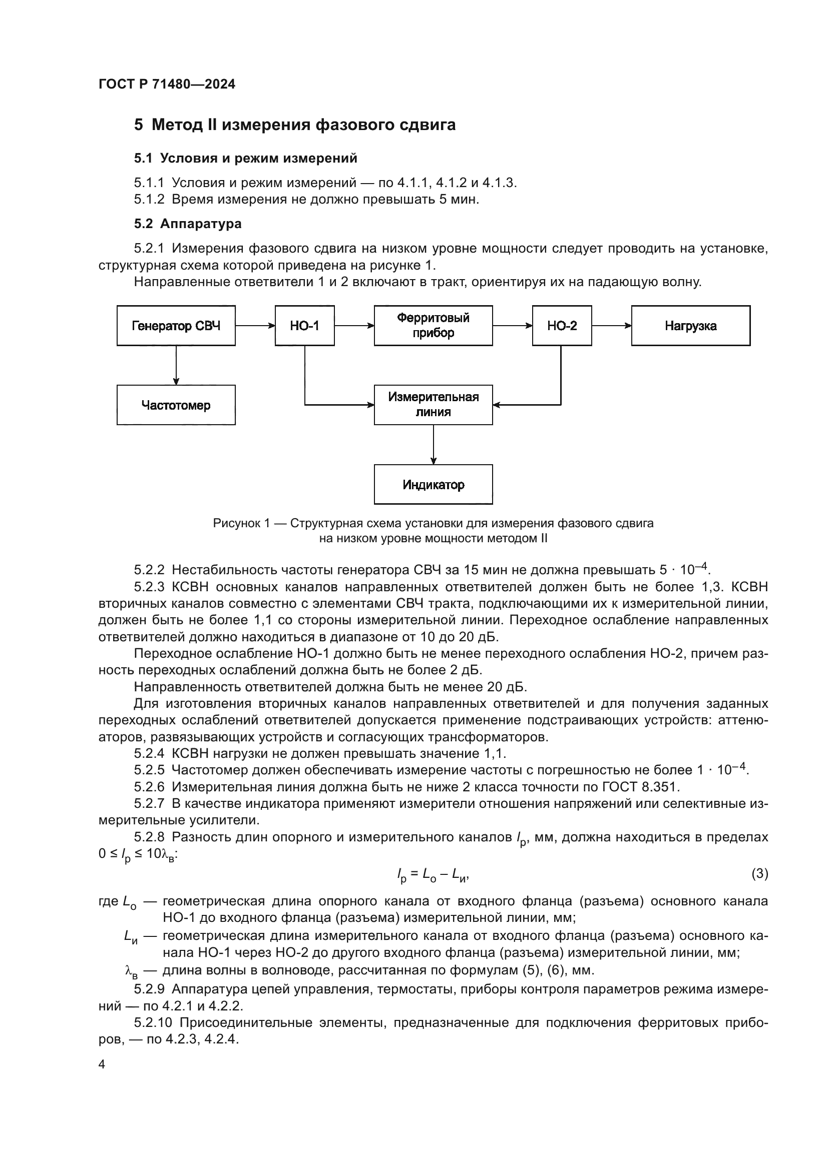
| Область применения: | Настоящий стандарт устанавливает методы измерения фазовых сдвигов: начального фазового сдвига ферритовых фазовращателей, вентилей, циркуляторов, переключателей, фильтров и ограничителей (далее - ферритовые приборы) и управляемого фазового сдвига фазовращателей на низком уровне мощности. Настоящий стандарт устанавливает три метода измерения фазового сдвига ферритовых приборов: - метод I - для измерения фазового сдвига с использованием стандартной измерительной аппаратуры, позволяющей измерять фазовый сдвиг, разность фаз и фазу СВЧ-сигнала; - метод II - для измерения фазового сдвига с использованием измерительных линий; - метод III - для измерения фазового сдвига с использованием калиброванных фазовращателей |
|
| Расположен в: |
|