| Обозначение: |  ГОСТ Р 71452-2024 |
| Статус: | принят |
| Название рус.: | Требования к функциональной безопасности и защите системы контроля промышленной автоматизации (IACS) на протяжении жизненного цикла |
| Название англ.: | Lifecycle requirements for functional safety and security for IACS |
| Дата актуализации текста: | 01.12.2024 |
| Дата актуализации описания: | 01.12.2024 |
| Дата издания: | 28.06.2024 |
| Дата введения: | 01.07.2025 |
| Аутентичен стандартам: | IEC/PAS 63325(2020) |
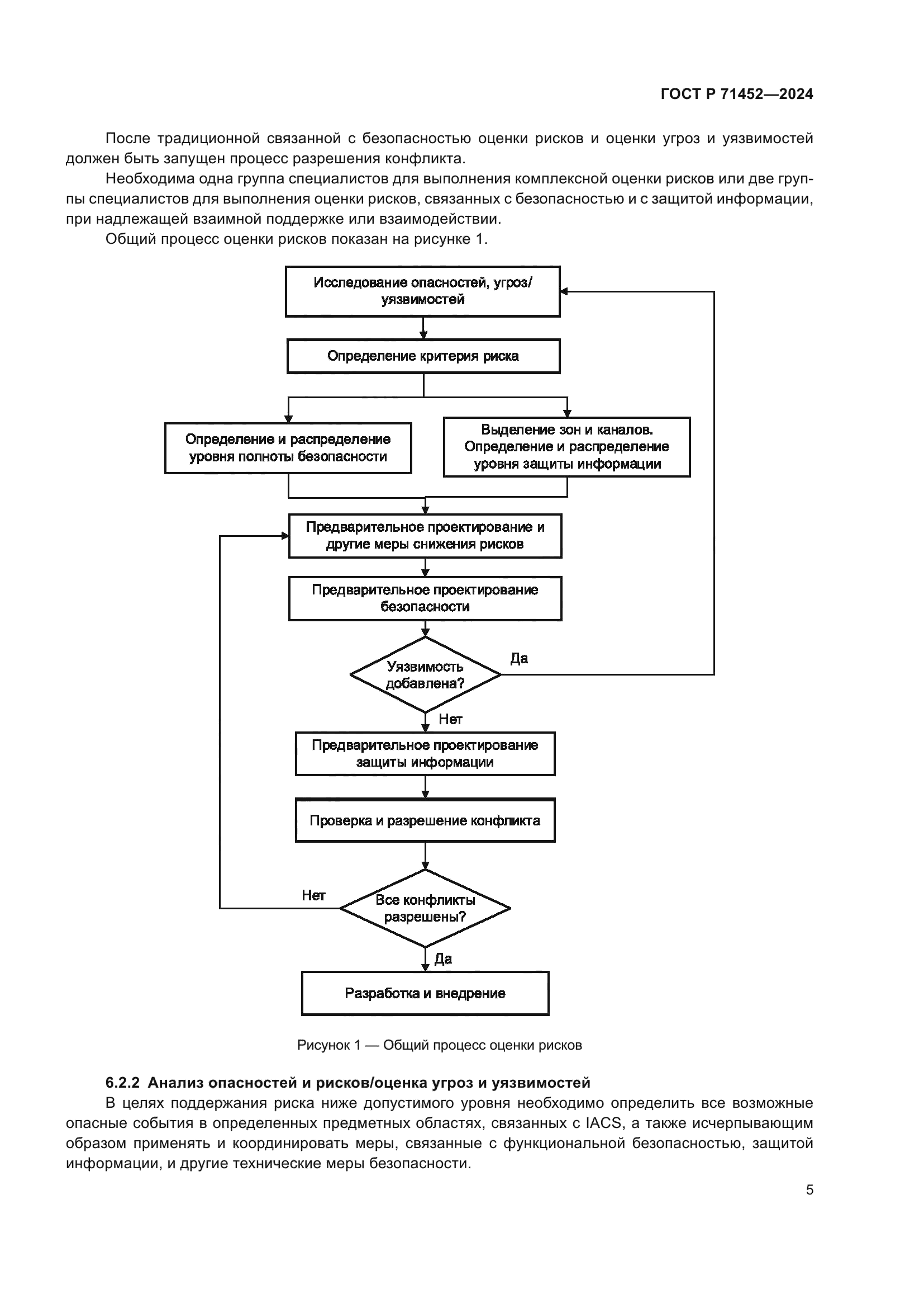
| Область применения: | В настоящем стандарте содержатся требования и рекомендации по обеспечению и подтверждению функциональной безопасности и защиты информации на различных этапах жизненного цикла. Настоящий стандарт помогает координировать процессы оценки рисков, проектирования, управления и эксплуатации, а также предотвращает конфликты между функциональной безопасностью и защитой информации. Настоящий стандарт нацелен не на создание абсолютно нового жизненного цикла, а на выработку требований и предложений по координации функциональной безопасности и защиты информации на основе жизненных циклов функциональной безопасности, защиты информации и других современных процессов проектирования |
|
| Расположен в: |
|