| Обозначение: |  ГОСТ Р 71417-2024 |
| Статус: | действующий |
| Название рус.: | Приборы ферритовые сверхвысокочастотного диапазона. Метод измерения развязок трехплечных циркуляторов на высоком уровне мощности |
| Название англ.: | Microwave ferrite devices. Method of measurement of isolation of tree-port circulator at high power level |
| Дата актуализации текста: | 01.12.2024 |
| Дата актуализации описания: | 01.06.2025 |
| Дата издания: | 10.06.2024 |
| Дата введения: | 01.03.2025 |
| Нормативные ссылки: | ГОСТ 12.1.006; ГОСТ 12.2.003; ГОСТ 22261; ГОСТ 23769 |
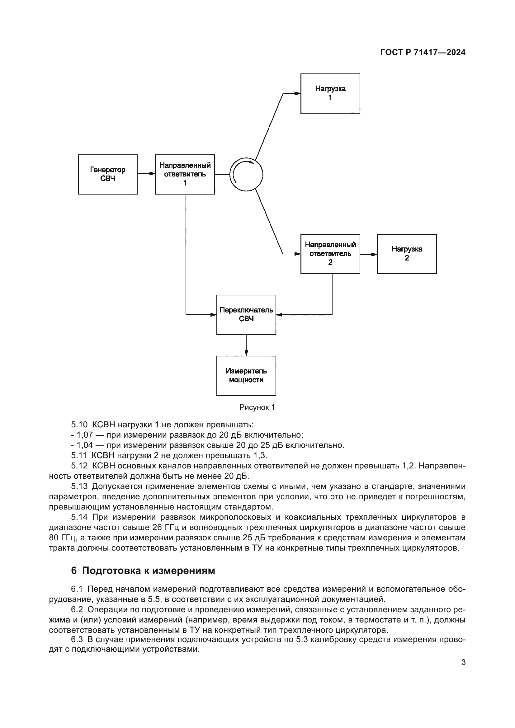
| Область применения: | Настоящий стандарт распространяется на приборы ферритовые сверхвысокочастотного диапазона (ПФ СВЧ) высокого уровня мощности и устанавливает метод измерения развязок между каналами Y-циркуляторов, T-циркуляторов и переключателей на их основе (далее – трехплечные циркуляторы) в диапазоне частот до 40 ГГц для микрополосковых и коаксиальных трехплечных циркуляторов и до 325 ГГц для волноводных трехплечных циркуляторов |
|
| Расположен в: |
|