| Обозначение: |  ГОСТ Р 71294-2024 |
| Статус: | действующий |
| Название рус.: | Ферриты сверхвысокочастотного диапазона и изделия из них. Метод измерения намагниченности насыщения |
| Название англ.: | Microwave ferrite devices and products made of them. Method of measuring saturation magnetization |
| Дата актуализации текста: | 01.12.2024 |
| Дата актуализации описания: | 01.06.2025 |
| Дата издания: | 14.06.2024 |
| Дата введения: | 01.03.2025 |
| Нормативные ссылки: | ГОСТ 8.315; ГОСТ 1494; ГОСТ 7262; ГОСТ 19693; ГОСТ 22261; ГОСТ Р 55878; ГОСТ Р 71293 |
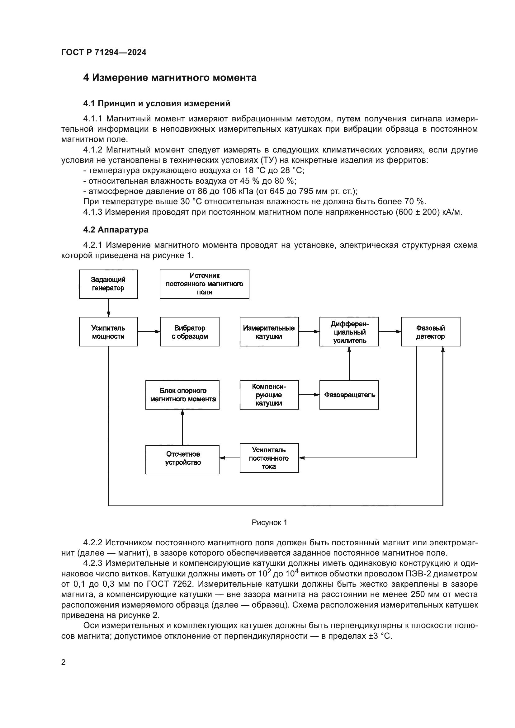
| Область применения: | Настоящий стандарт распространяется на ферриты сверхвысокочастотного диапазона (СВЧ), а также на изделия из них и устанавливает косвенный метод измерения намагниченности насыщения по данным измерения магнитного момента намагниченного до насыщения образца, его массы и плотности |
|
| Расположен в: |
|