Информационная система
«Ёшкин Кот»

Скачать базу одним архивом
Скачать обновления
История создания базы
Карта сайта

Скачать ГОСТ Р 70874.2-2024 Конструкции для удаления дымовых газов. Внутренние трубы из керамики. Часть 2. Внутренние трубы для влажного режима эксплуатации. Требования и методы испытания

Дата актуализации: 01.06.2025

ГОСТ Р 70874.2-2024

Конструкции для удаления дымовых газов. Внутренние трубы из керамики. Часть 2. Внутренние трубы для влажного режима эксплуатации. Требования и методы испытания

Обозначение: ГОСТ Р 70874.2-2024
Статус:действующий
Название рус.:Конструкции для удаления дымовых газов. Внутренние трубы из керамики. Часть 2. Внутренние трубы для влажного режима эксплуатации. Требования и методы испытания
Название англ.:Constructions for removing flue gases. Ceramic inner pipes. Part 2. Internal pipes for wet operation mode. Requirements and test methods
Дата актуализации текста:01.12.2024
Дата актуализации описания:01.12.2024
Дата издания:27.05.2024
Дата введения:01.07.2024
Содержит требования:DIN EN 1457-2:2012
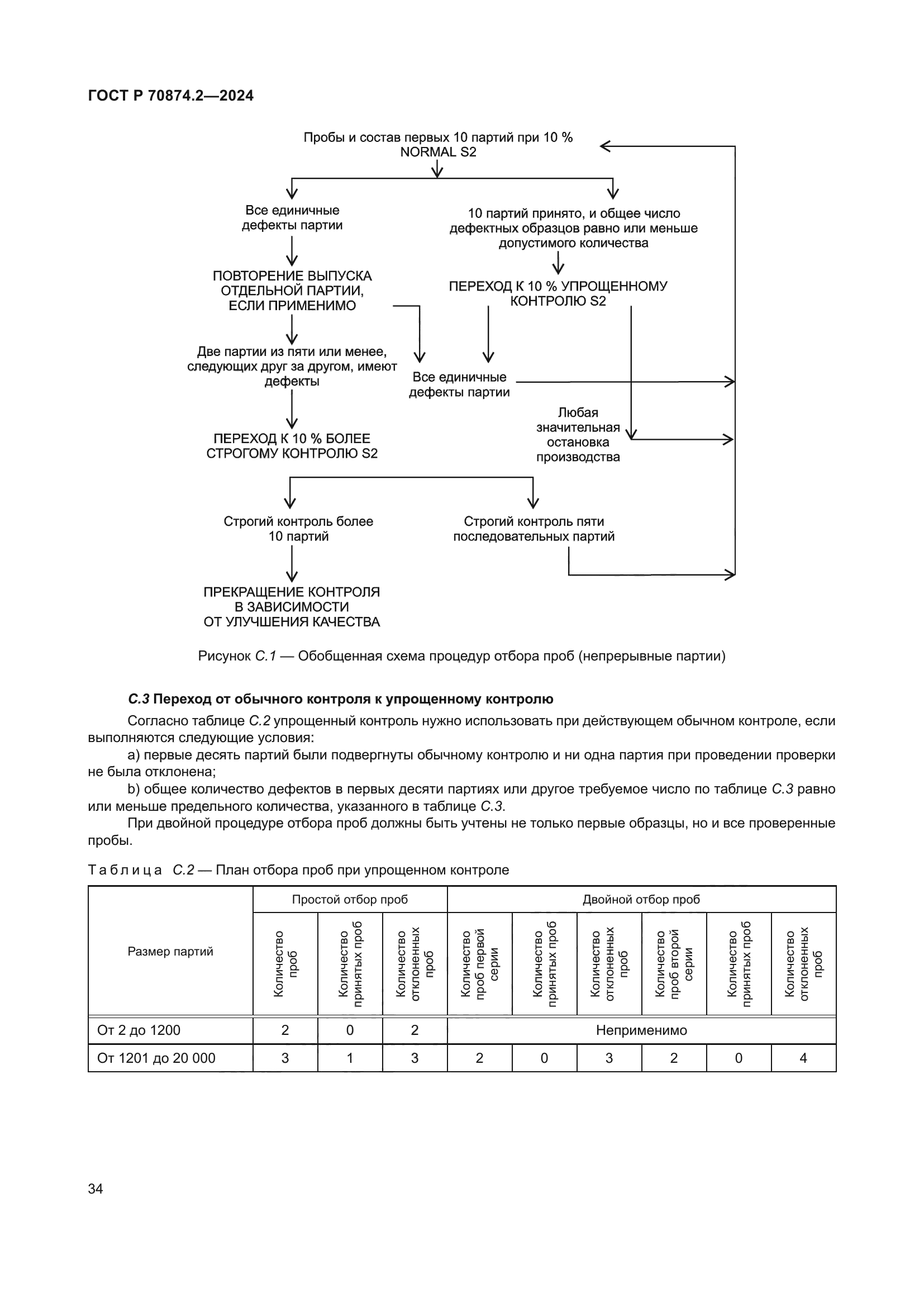
Нормативные ссылки:ГОСТ 10632;ГОСТ Р 53299;ГОСТ Р 53321-2009;ГОСТ Р 57356;ГОСТ Р 59412;ГОСТ Р 59978.1;ГОСТ Р 70874.1;ГОСТ Р ИСО 2859-1;ГОСТ Р ИСО 9001
Область применения:Настоящий стандарт устанавливает требования и методы испытания внутренних керамических труб со сплошной стенкой или стенкой с вертикальными отверстиями, которые используются в многослойных конструкциях для удаления дымовых газов в условиях влажного режима эксплуатации и служат для отвода продуктов сгорания в атмосферу от источников тепла, работающих при разрежении или избыточном давлении. Настоящий стандарт содержит перечень требований к внутренним керамическим трубам и фасонным элементам заводского изготовления, предназначенным для влажного режима эксплуатации. Он также включает требования к термическим испытаниям труб с теплоизоляцией или без нее, требования к маркировке и контролю качества. Внутренние трубы, рассматриваемые в стандарте, соответствуют требованиям ГОСТ Р 70874.1 при тех же условиях рабочей температуры, давления, стойкости к возгоранию сажи. Кроме того, стандарт определяет минимальные требования к маркировке, инструкциям и информации об изделии и представляет собой руководство по оценке и проверке постоянства качества выпускаемой продукции (AVCP). Настоящий стандарт распространяется на внутренние керамические трубы, предназначенные для отвода продуктов сгорания в дымоходных системах бытового и промышленного назначения, не являющихся отдельно стоящими сооружениями
Расположен в:Государственные стандарты Общероссийский классификатор стандартов Строительные материалы и строительство Строительные элементы Дымовые трубы, шахты, каналы
ГОСТ Р 70874.2-2024ГОСТ Р 70874.2-2024ГОСТ Р 70874.2-2024ГОСТ Р 70874.2-2024ГОСТ Р 70874.2-2024ГОСТ Р 70874.2-2024ГОСТ Р 70874.2-2024ГОСТ Р 70874.2-2024ГОСТ Р 70874.2-2024ГОСТ Р 70874.2-2024ГОСТ Р 70874.2-2024ГОСТ Р 70874.2-2024ГОСТ Р 70874.2-2024ГОСТ Р 70874.2-2024ГОСТ Р 70874.2-2024ГОСТ Р 70874.2-2024ГОСТ Р 70874.2-2024ГОСТ Р 70874.2-2024ГОСТ Р 70874.2-2024ГОСТ Р 70874.2-2024ГОСТ Р 70874.2-2024ГОСТ Р 70874.2-2024ГОСТ Р 70874.2-2024ГОСТ Р 70874.2-2024ГОСТ Р 70874.2-2024ГОСТ Р 70874.2-2024ГОСТ Р 70874.2-2024ГОСТ Р 70874.2-2024ГОСТ Р 70874.2-2024ГОСТ Р 70874.2-2024ГОСТ Р 70874.2-2024ГОСТ Р 70874.2-2024ГОСТ Р 70874.2-2024ГОСТ Р 70874.2-2024ГОСТ Р 70874.2-2024ГОСТ Р 70874.2-2024ГОСТ Р 70874.2-2024ГОСТ Р 70874.2-2024ГОСТ Р 70874.2-2024ГОСТ Р 70874.2-2024ГОСТ Р 70874.2-2024ГОСТ Р 70874.2-2024ГОСТ Р 70874.2-2024ГОСТ Р 70874.2-2024ГОСТ Р 70874.2-2024ГОСТ Р 70874.2-2024

© 2013 Ёшкин Кот :-) Карта сайта