| Обозначение: |  ГОСТ Р 71257-2024 |
| Статус: | действующий |
| Название рус.: | Арматура трубопроводная. Термическая обработка заготовок из углеродистых и легированных конструкционных сталей |
| Название англ.: | Pipeline valves. Heat treatment of blanks made of carbon and alloy structural steels |
| Дата актуализации текста: | 01.06.2024 |
| Дата актуализации описания: | 01.12.2024 |
| Дата издания: | 14.05.2024 |
| Дата введения: | 01.08.2024 |
| Нормативные ссылки: | ГОСТ 12.3.004; ГОСТ 33439; ГОСТ Р 71255 |
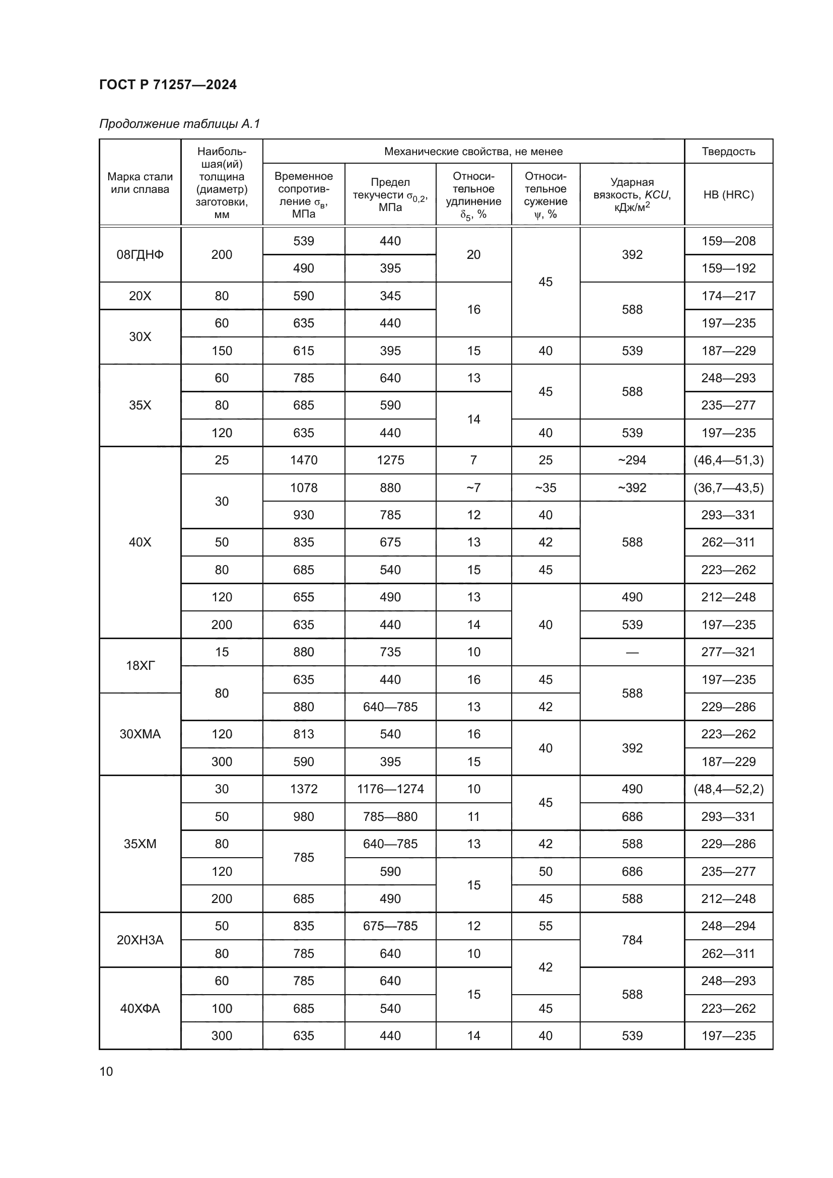
| Область применения: | Настоящий стандарт устанавливает режимы и основные технологические требования по термической обработке заготовок из углеродистых и легированных конструкционных сталей и является типовым технологическим процессом проведения термической обработки |
|
| Расположен в: |
|