| Обозначение: |  ГОСТ Р 57700.42-2023 |
| Статус: | принят |
| Название рус.: | Численное моделирование полимерных композиционных материалов. Общие положения |
| Название англ.: | Numerical modeling for polymer composite materials. General provisions |
| Дата актуализации текста: | 01.06.2024 |
| Дата актуализации описания: | 01.06.2024 |
| Дата издания: | 10.01.2024 |
| Дата введения: | 01.01.2026 |
| Нормативные ссылки: | ГОСТ 32794; ГОСТ 33742; ГОСТ Р 57188; ГОСТ Р 57412; ГОСТ Р 57700.1; ГОСТ Р 57700.2-2017; ГОСТ Р 57700.10 |
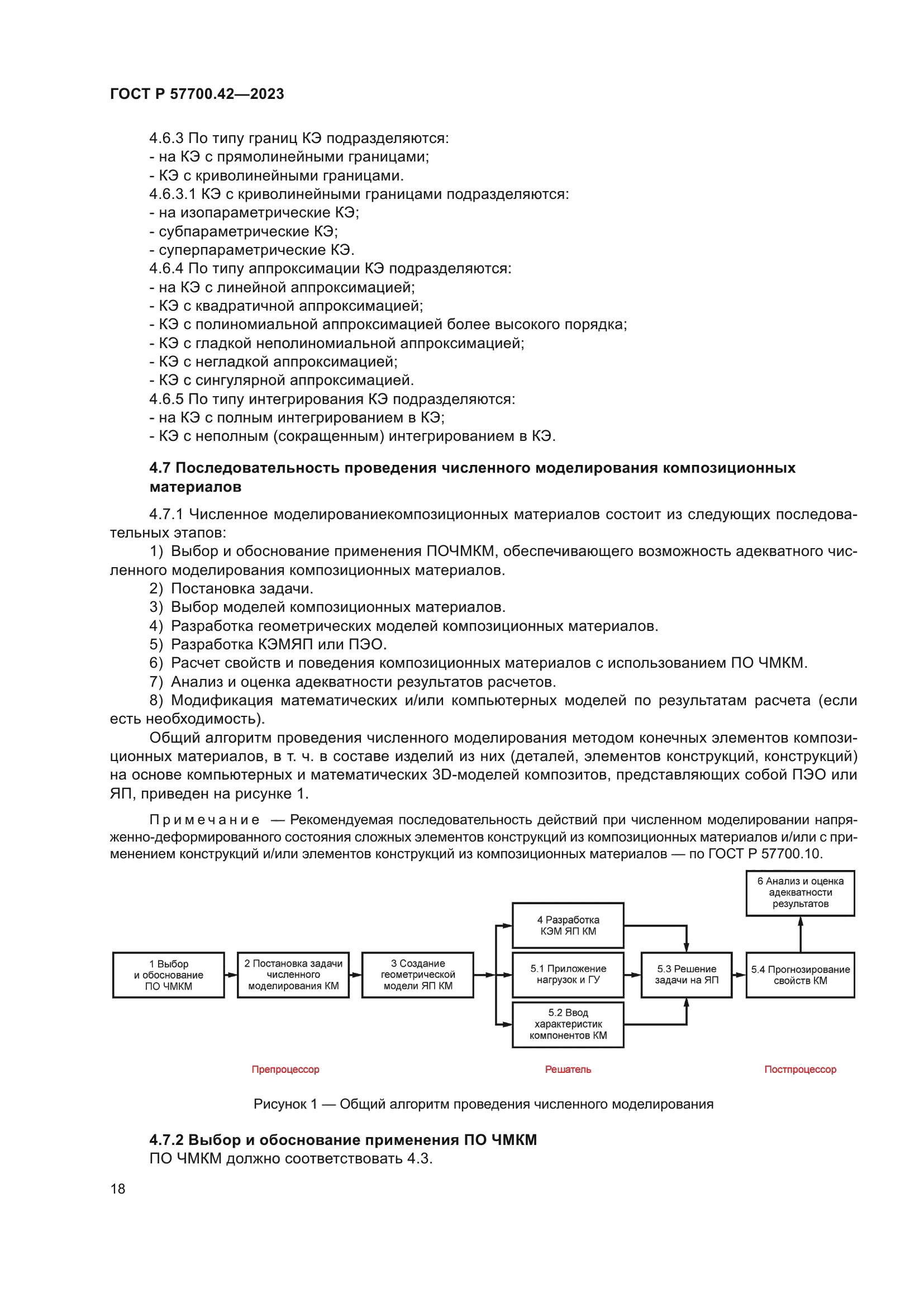
| Область применения: | Настоящий стандарт устанавливает общие требования к процессам численного моделирования методом конечных элементов свойств и поведения композиционных материалов путем построения математических и компьютерных 3D-моделей композитов в виде идеализированных периодических структур, образованных из ячеек периодичности, и численного решения уравнений математических моделей. Построение математических и компьютерных 3D-моделей композитов осуществляется на основе классификации микроструктур, моделей и эффективных свойств композиционных материалов, а также классификаций, применяемых при численном моделировании конечных элементов |
|
| Расположен в: |
|