| Обозначение: |  ГОСТ Р 71158-2023 |
| Статус: | действующий |
| Название рус.: | Интеллектуальные транспортные системы. Подсистема диспетчеризации управления службы содержания дорог. Общие требования |
| Название англ.: | Intelligent transport systems. Dispatching subsystem. Management of the road maintenance service. General requirements |
| Дата актуализации текста: | 01.01.2024 |
| Дата актуализации описания: | 01.12.2024 |
| Дата издания: | 15.01.2024 |
| Дата введения: | 01.06.2024 |
| Нормативные ссылки: | ГОСТ 24.701; ГОСТ 33180; ГОСТ 33181; ГОСТ 33220; ГОСТ Р 52765; ГОСТ Р 56294; ГОСТ Р 56829; ГОСТ Р 58862; ГОСТ Р ИСО 14813-1 |
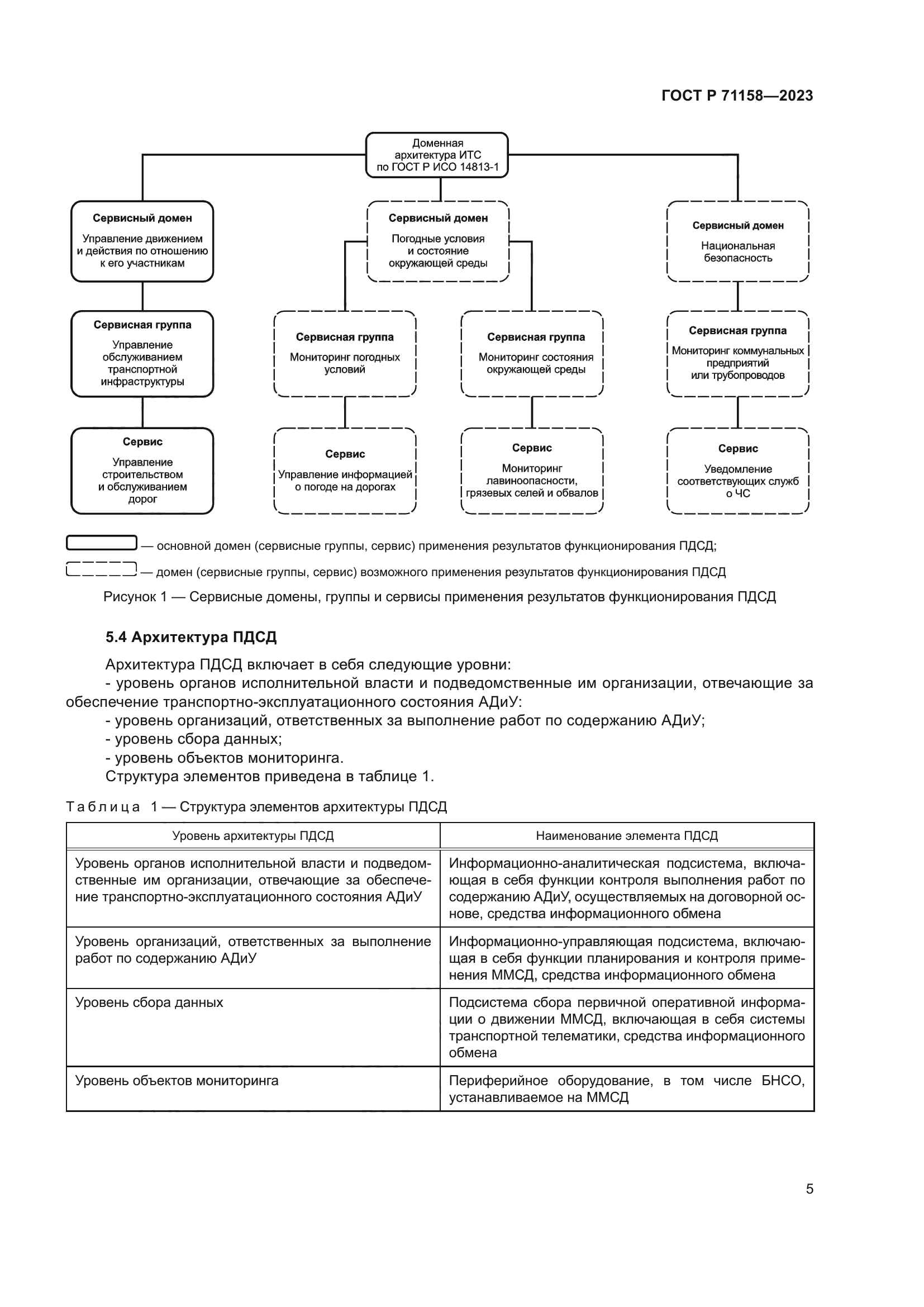
| Область применения: | Настоящий стандарт распространяется на подсистемы диспетчерского управления служб содержания автомобильных дорог общего пользования, входящих в состав интеллектуальных транспортных систем, и устанавливает общие требования к этим подсистемам. Настоящий стандарт устанавливает требования к архитектуре, функциям и решаемым задачам подсистемы диспетчерского управления служб содержания дорог, находящихся в ведении организаций, реализующих проекты по созданию, внедрению и сопровождению интеллектуальных транспортных систем |
|
| Расположен в: |
|