| Обозначение: |  ГОСТ Р 71118-2023 |
| Статус: | действующий |
| Название рус.: | Информационные технологии. Интернет вещей. Совместимость систем интернета вещей. Часть 2. Совместимость на транспортном уровне |
| Название англ.: | Information technology. Internet of things. Interoperability for internet of things systems. Part 2. Transport interoperability |
| Дата актуализации текста: | 01.01.2024 |
| Дата актуализации описания: | 01.01.2024 |
| Дата издания: | 12.12.2023 |
| Дата введения: | 01.01.2024 |
| Содержит требования: | ISO/IEC 21823-2:2020 |
| Нормативные ссылки: | ГОСТ Р 70924-2023 |
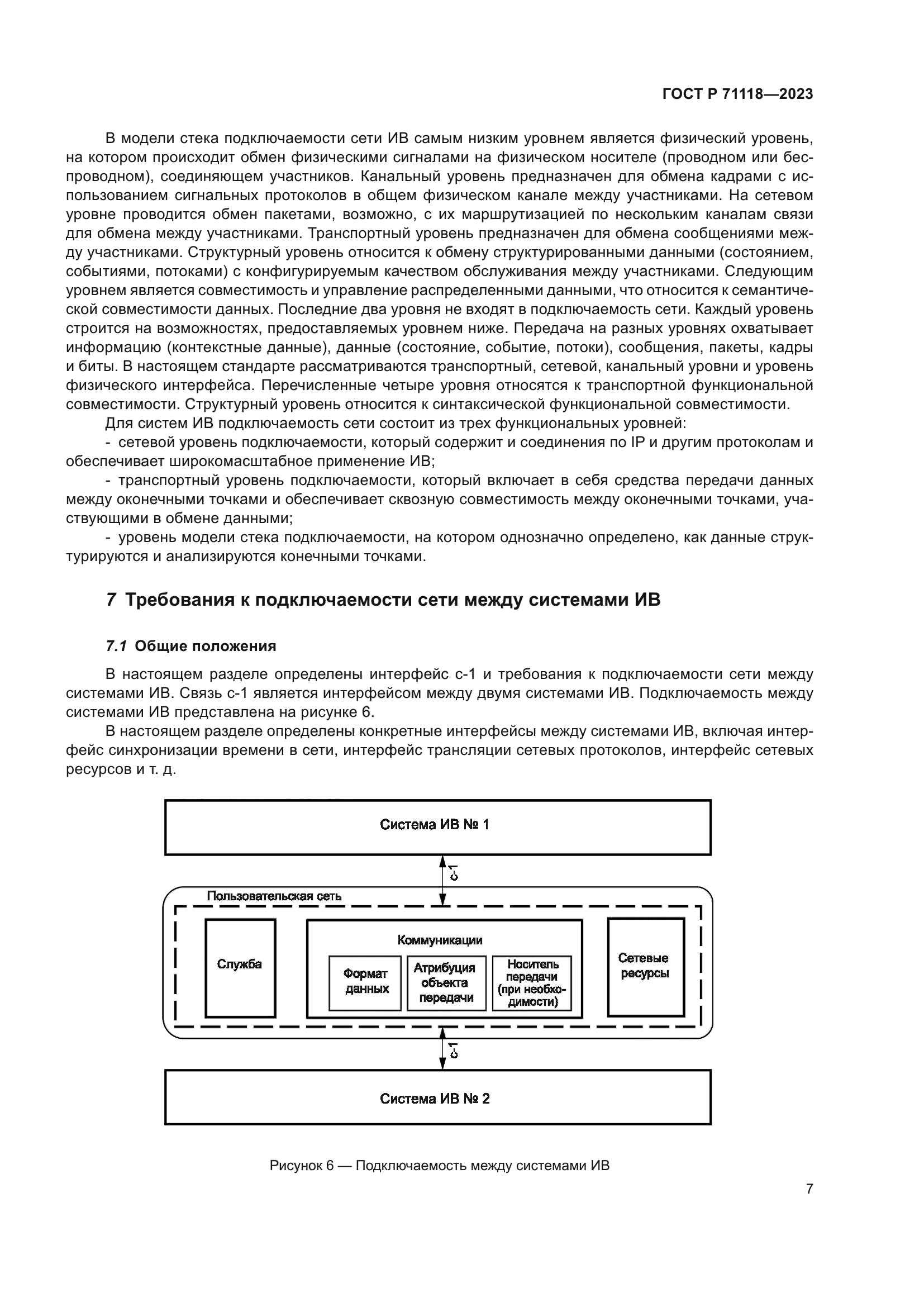
| Область применения: | Настоящий стандарт определяет структуру и требования к транспортной функциональной совместимости. Транспортная функциональная совместимость обеспечивает обмен информацией, одноранговую подключаемость и непрерывную связь между различными системами Интернета вещей (ИВ) и между сущностями в системе ИВ |
|
| Расположен в: |
|