Информационная система
«Ёшкин Кот»

Скачать базу одним архивом
Скачать обновления
История создания базы
Карта сайта

Скачать ГОСТ Р 71098-2023 Выбросы стационарных источников. Определение выбросов парниковых газов в энергоемких отраслях промышленности. Часть 3. Производство цемента

Дата актуализации: 01.06.2025

ГОСТ Р 71098-2023

Выбросы стационарных источников. Определение выбросов парниковых газов в энергоемких отраслях промышленности. Часть 3. Производство цемента

Обозначение: ГОСТ Р 71098-2023
Статус:действующий
Название рус.:Выбросы стационарных источников. Определение выбросов парниковых газов в энергоемких отраслях промышленности. Часть 3. Производство цемента
Название англ.:Stationary source emissions. Determination of greenhouse gas emissions in energy intensive industries. Part 3. Cement industry
Дата актуализации текста:01.01.2024
Дата актуализации описания:01.06.2024
Дата издания:04.12.2023
Дата введения:01.02.2024
Нормативные ссылки:ГОСТ 30744;ГОСТ Р 57293;ГОСТ Р 57345;ГОСТ Р ИСО 12039;ГОСТ Р ИСО 14064-1-2021;ГОСТ Р ИСО 19694-1
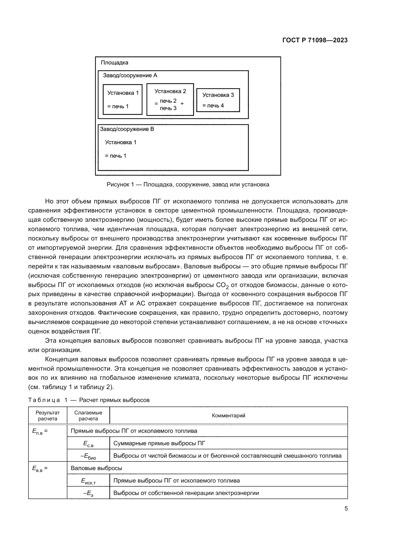
Область применения:Настоящий стандарт устанавливает согласованную методику расчета выбросов парниковых газов (ПГ) в цементной промышленности с целью представления данных об этих выбросах для различных целей и на разной основе, например на базе завода, предприятия (по стране или по региону) или даже на основе международной группы. В настоящем стандарте учтены следующие прямые и косвенные источники ПГ: - прямые выбросы ПГ по ГОСТ Р ИСО 14064-1–2021 [5.2.4, перечисление а)] из тех источников, которые принадлежат или контролирует предприятие, например: - декарбонизация карбонатов и сжигание органического углерода, содержащегося в сырьевой смеси, - сжигание печного топлива (ископаемое печное топливо, альтернативное топливо, смешанное топливо с содержанием биогенного углерода, биомасса и биожидкости), связанное либо с производством клинкера, либо с сушкой сырьевой смеси и топлива, либо и с тем и другим, - сжигание непечного топлива (ископаемое топливо, альтернативное топливо, смешанное топливо с содержанием биогенного углерода, биомасса и биожидкости), связанное с оборудованием и транспортными средствами на площадке, отоплением и охлаждением помещений, сушкой минеральных компонентов (например, шлака или пуццолана), - сжигание топлива для выработки электроэнергии; - сжигание углерода, содержащегося в обезвоженном осадке после очистки сточных вод; - косвенные выбросы ПГ по ГОСТ Р ИСО 14064-1–2021 [5.2.4, перечисление b)] в результате производства электроэнергии, потребляемой на принадлежащем или контролируемом предприятием оборудовании; - прочие косвенные выбросы ПГ по (ГОСТ Р ИСО 14064-1–2021 [5.2.4, перечисления c)–f)] от закупаемого клинкера
Расположен в:Государственные стандарты Общероссийский классификатор стандартов Охрана окружающей среды, защита человека от воздействия окружающей среды. Безопасность Качество воздуха Выбросы стационарных источников
ГОСТ Р 71098-2023ГОСТ Р 71098-2023ГОСТ Р 71098-2023ГОСТ Р 71098-2023ГОСТ Р 71098-2023ГОСТ Р 71098-2023ГОСТ Р 71098-2023ГОСТ Р 71098-2023ГОСТ Р 71098-2023ГОСТ Р 71098-2023ГОСТ Р 71098-2023ГОСТ Р 71098-2023ГОСТ Р 71098-2023ГОСТ Р 71098-2023ГОСТ Р 71098-2023ГОСТ Р 71098-2023ГОСТ Р 71098-2023ГОСТ Р 71098-2023ГОСТ Р 71098-2023ГОСТ Р 71098-2023ГОСТ Р 71098-2023ГОСТ Р 71098-2023ГОСТ Р 71098-2023ГОСТ Р 71098-2023ГОСТ Р 71098-2023ГОСТ Р 71098-2023ГОСТ Р 71098-2023ГОСТ Р 71098-2023ГОСТ Р 71098-2023ГОСТ Р 71098-2023ГОСТ Р 71098-2023ГОСТ Р 71098-2023ГОСТ Р 71098-2023ГОСТ Р 71098-2023ГОСТ Р 71098-2023ГОСТ Р 71098-2023ГОСТ Р 71098-2023ГОСТ Р 71098-2023ГОСТ Р 71098-2023ГОСТ Р 71098-2023ГОСТ Р 71098-2023ГОСТ Р 71098-2023ГОСТ Р 71098-2023ГОСТ Р 71098-2023ГОСТ Р 71098-2023ГОСТ Р 71098-2023ГОСТ Р 71098-2023ГОСТ Р 71098-2023ГОСТ Р 71098-2023ГОСТ Р 71098-2023ГОСТ Р 71098-2023ГОСТ Р 71098-2023ГОСТ Р 71098-2023ГОСТ Р 71098-2023

© 2013 Ёшкин Кот :-) Карта сайта