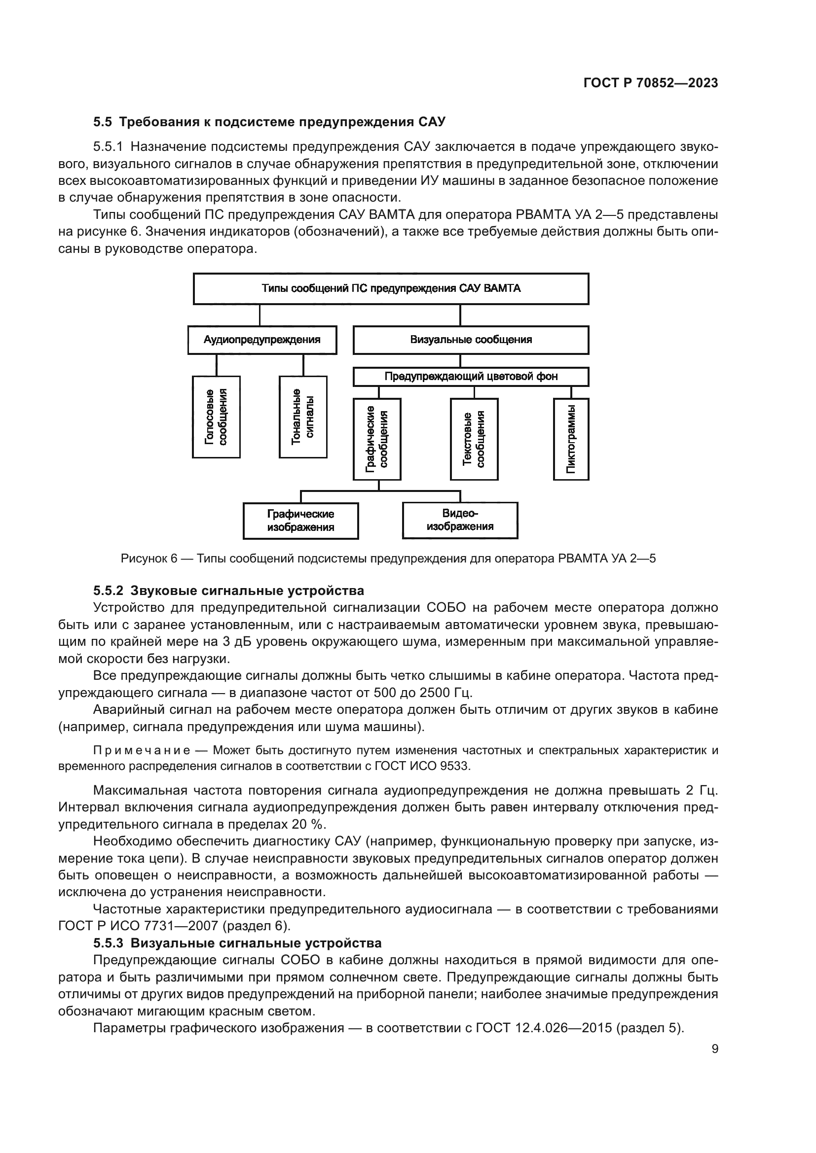
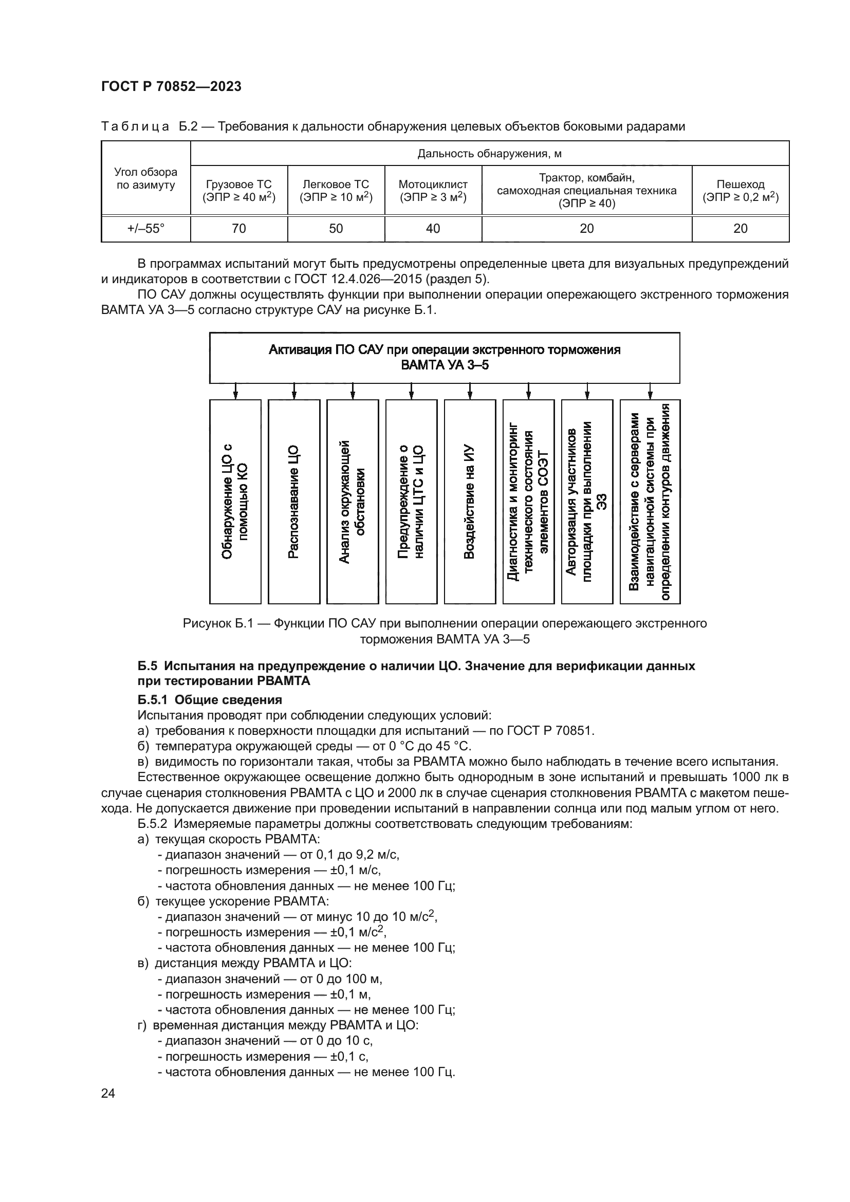
| ||||||||||||||||||||||||||||
Скачать ГОСТ Р 70852-2023 Тракторы и машины сельскохозяйственные. Аппаратно-программный комплекс для управления высокоавтоматизированными машинно-тракторными агрегатами. Технические требования и методы испытанийДата актуализации: 01.06.2025
| ||||||||||||||||||||||||||||
| Обозначение: | ![]() ГОСТ Р 70852-2023 |
| Статус: | действующий |
| Название рус.: | Тракторы и машины сельскохозяйственные. Аппаратно-программный комплекс для управления высокоавтоматизированными машинно-тракторными агрегатами. Технические требования и методы испытаний |
| Название англ.: | Tractors and agricultural machines. Hardware-software system for automated control of highly automated machine-tractor units. Technical requirements and test methods |
| Дата актуализации текста: | 01.01.2024 |
| Дата актуализации описания: | 01.06.2024 |
| Дата издания: | 28.11.2023 |
| Дата введения: | 01.05.2024 |
| Нормативные ссылки: | ГОСТ 2.314; ГОСТ 12.1.004; ГОСТ 12.1.007; ГОСТ 12.1.010; ГОСТ 12.2.011; ГОСТ 12.4.026-2015; ГОСТ 14.201; ГОСТ 20.39.108-85; ГОСТ 12969 ; ГОСТ 12971; ГОСТ 14254-2015; ГОСТ 22614; ГОСТ 23170; ГОСТ 28213; ГОСТ 30804.4.3-2013; ГОСТ 30805.22-2013; ГОСТ 33990; ГОСТ 34605;ГОСТ ISО 9533;ГОСТ ISO 13766;ГОСТ ISO 15998;ГОСТ ISO/IEC 17025;ГОСТ ISO 16001; ГОСТ Р 2.601; ГОСТ Р 50571.16; ГОСТ Р 50949; ГОСТ Р 51317.2.4-2000; ГОСТ Р 51960; ГОСТ Р 52931-2008; ГОСТ Р 58823; ГОСТ Р ИСО 3411 ; ГОСТ Р ИСО 7731-2007; ГОСТ Р ИСО 15006; ГОСТ Р 56205; ГОСТ Р 70850-2023; ГОСТ Р 70851-2023 |
| Область применения: | Настоящий стандарт устанавливает технические требования и методы испытаний на безопасность управления движением систем автоматизации аппаратно-программного комплекса высокоавтоматизированных машинно-тракторных агрегатов с учетом разделения по уровням автоматизации при их использовании в сельскохозяйственном производстве. Настоящий стандарт распространяется на разрабатываемые и выпускаемые системы управления высокоавтоматизированных машинно-тракторных агрегатов |
| Расположен в: | |







































