Информационная система
«Ёшкин Кот»

Скачать базу одним архивом
Скачать обновления
История создания базы
Карта сайта

Скачать ГОСТ Р 71055-2023 Приборы полупроводниковые. Система условных обозначений

Дата актуализации: 01.06.2025

ГОСТ Р 71055-2023

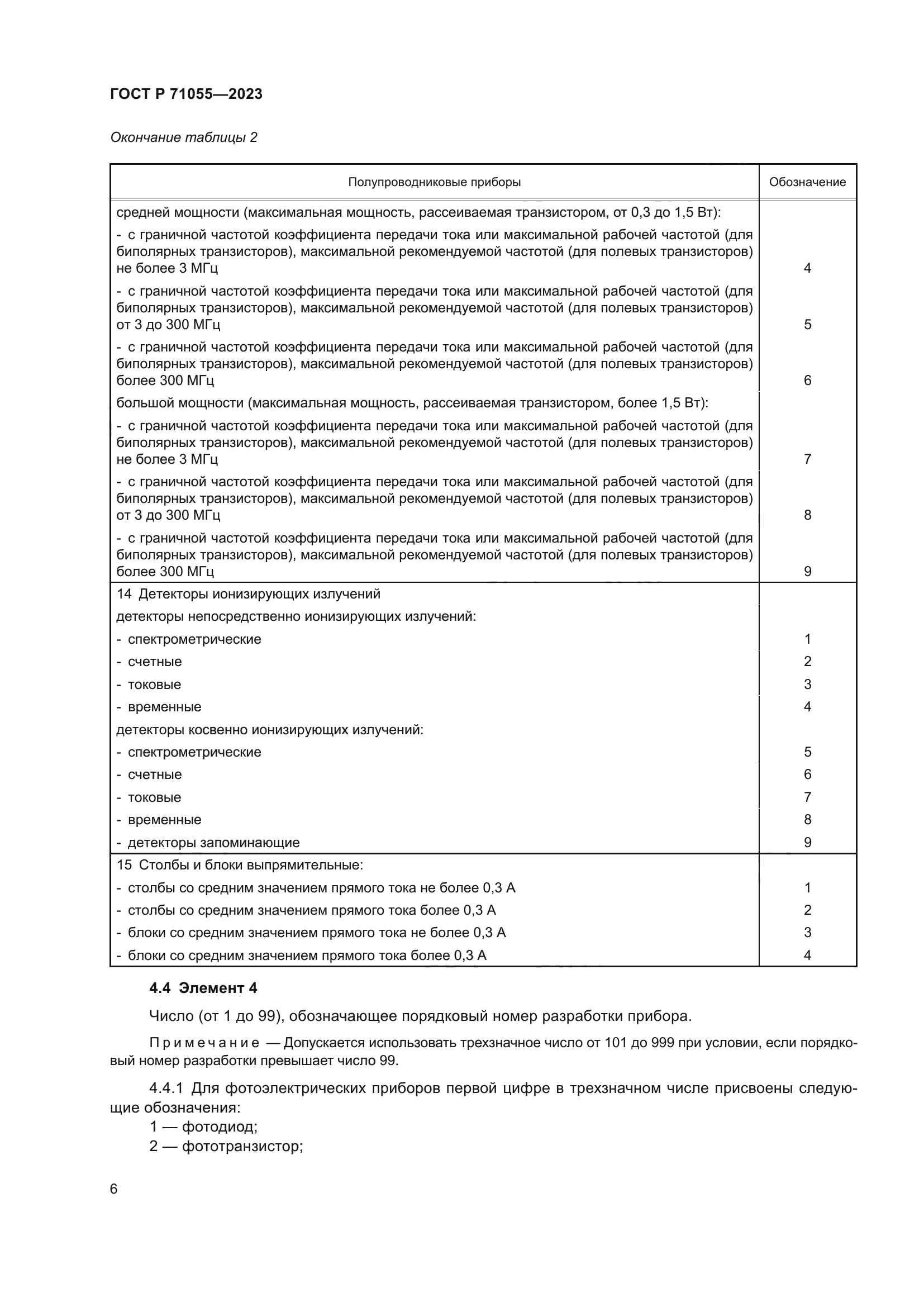
Приборы полупроводниковые. Система условных обозначений

Обозначение: ГОСТ Р 71055-2023
Статус:действующий
Название рус.:Приборы полупроводниковые. Система условных обозначений
Название англ.:Semiconductor devices. System of designations
Дата актуализации текста:01.01.2024
Дата актуализации описания:01.06.2024
Дата издания:16.11.2023
Дата введения:01.03.2024
Нормативные ссылки:ГОСТ Р 57436
Область применения:Настоящий стандарт распространяется на вновь разрабатываемые и модернизируемые полупроводниковые приборы и устанавливает систему их сокращенных условных обозначений. Условное обозначение полупроводниковым приборам присваивает уполномоченная организация в установленном порядке. Стандарт не распространяется на индикаторы знакосинтезирующие полупроводниковые, селеновые приборы и волстроны. Настоящий стандарт предназначен для применения предприятиями, организациями и другими субъектами научной и хозяйственной деятельности независимо от форм собственности и подчинения, а также федеральными органами исполнительной власти Российской Федерации, участвующими в разработке, производстве, эксплуатации полупроводниковых приборов в соответствии с действующим законодательством
Расположен в:Государственные стандарты Общероссийский классификатор стандартов Электроника Полупроводниковые приборы Полупроводниковые приборы в целом
ГОСТ Р 71055-2023ГОСТ Р 71055-2023ГОСТ Р 71055-2023ГОСТ Р 71055-2023ГОСТ Р 71055-2023ГОСТ Р 71055-2023ГОСТ Р 71055-2023ГОСТ Р 71055-2023ГОСТ Р 71055-2023ГОСТ Р 71055-2023ГОСТ Р 71055-2023ГОСТ Р 71055-2023

© 2013 Ёшкин Кот :-) Карта сайта