| Обозначение: |  ГОСТ Р 55836-2023 |
| Статус: | действующий |
| Название рус.: | Ресурсосбережение. Наилучшие доступные технологии. Обработка остатков, образующихся при сжигании отходов |
| Название англ.: | Resources saving. The best available techniques. Treatment of residues generated during waste incineration |
| Дата актуализации текста: | 01.01.2024 |
| Дата актуализации описания: | 01.01.2024 |
| Дата издания: | 17.11.2023 |
| Дата введения: | 01.01.2024 |
| Взамен: | ГОСТ Р 55836-2013 |
| Нормативные ссылки: | ГОСТ Р 113.00.12; ГОСТ Р 52104; ГОСТ Р 54098; ГОСТ Р ИСО 14001; ГОСТ Р ИСО 14050 |
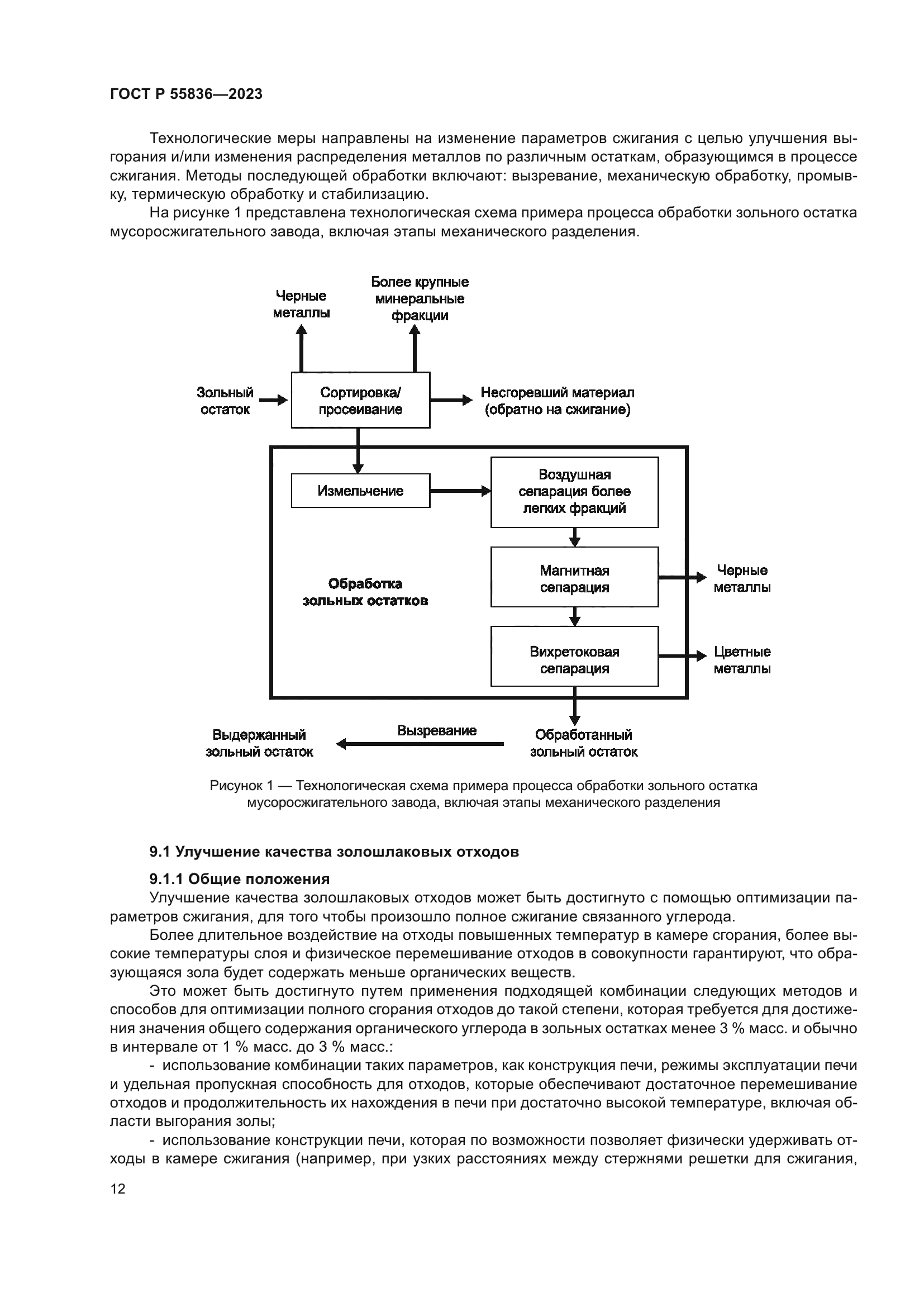
| Область применения: | Настоящий стандарт устанавливает основные положения, направленные на обеспечение безопасного обращения с твердыми остатками, образующихся при сжигании отходов, с применением наилучших доступных технологий (НДТ). Настоящий стандарт не распространяется на способы захоронения твердых опасных остатков |
|
| Расположен в: |
|