| Обозначение: |  ГОСТ Р 70928-2023 |
| Статус: | действующий |
| Название рус.: | Возобновляемая энергетика. Ветроэнергетика. Ветроэлектрические станции. Рекомендации по определению ветроклиматических характеристик и технико-экономических показателей малых ветроэнергетических установок |
| Название англ.: | Renewable generation. Windpower engineering. Windpower stations. Guidelines for estimating of wind-climatic characteristics and technical-and-economic indexes for small wind turbines |
| Дата актуализации текста: | 01.01.2024 |
| Дата актуализации описания: | 01.01.2024 |
| Дата издания: | 20.10.2023 |
| Дата введения: | 01.10.2023 |
| Нормативные ссылки: | ГОСТ 2.103; ГОСТ 2.105; ГОСТ 15150; ГОСТ 16350; ГОСТ 21508; ГОСТ Р 22.1.07; ГОСТ Р 54418.1; ГОСТ Р 54418.2; ГОСТ Р 54418.12.1; ГОСТ Р 54418.24; ГОСТ Р 55589;СП 131.13330 |
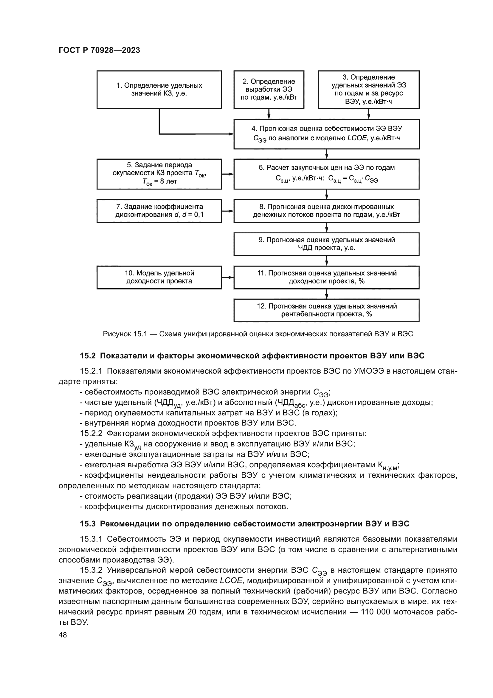
| Область применения: | Настоящий стандарт направлен на обеспечение ускоренного развития ветроэнергетики на базе малых ветроэнергетических установок (ВЭУ) номинальной мощностью не более 1 МВт с высотой башен не более 60 м, работающих автономно или в составе гибридных энергокомплексов в сложных, часто экстремальных ветроклиматических условиях, присущих многим регионам Российской Федерации |
|
| Расположен в: |
|