| Обозначение: |  ГОСТ Р 70680-2023 |
| Статус: | действующий |
| Название рус.: | Автомобильные транспортные средства на водородных топливных элементах. Топливные системы. Технические требования |
| Название англ.: | Hydrogen fuel cell vehicles. Fuel systems. Technical requirements |
| Дата актуализации текста: | 01.01.2024 |
| Дата актуализации описания: | 01.06.2024 |
| Дата издания: | 16.10.2023 |
| Дата введения: | 01.05.2024 |
| Нормативные ссылки: | ГОСТ Р 27.303; ГОСТ Р 54111.1; ГОСТ Р 54111.2; ГОСТ Р 59102; ГОСТ Р 70678-2023; ГОСТ Р 70679-2023; ГОСТ Р 70682-2023 |
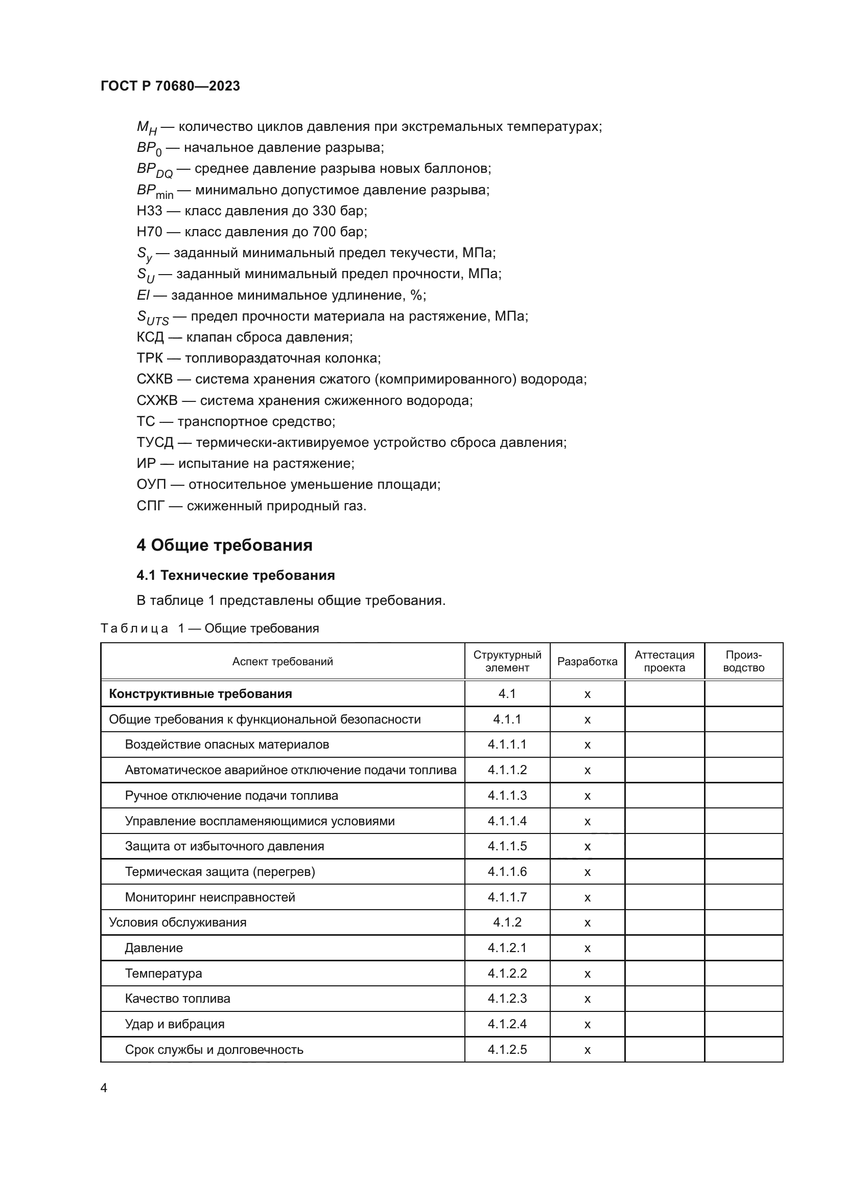
| Область применения: | Настоящий стандарт устанавливает требования, касающиеся ударопрочности и интеграции систем топливных элементов на транспортных средствах, определяет методы испытаний, связанные с интеграцией систем хранения водорода и обработки водорода, системы топливных элементов и электрических систем в транспортных средствах на топливных элементах |
|
| Расположен в: |
|