| Обозначение: |  ГОСТ Р 70804.1-2023 |
| Статус: | действующий |
| Название рус.: | Автоматические измерительные системы для контроля выбросов загрязняющих веществ. Система сбора и обработки данных. Часть 1. Требования к системам сбора и обработки данных |
| Название англ.: | Automatic measuring systems for control of polutant emissions. Data acquisition and handling system. Part 1. Specification of requirements for the handling and reporting of data |
| Дата актуализации текста: | 01.01.2024 |
| Дата актуализации описания: | 01.01.2024 |
| Дата издания: | 13.10.2023 |
| Дата введения: | 01.11.2023 |
| Нормативные ссылки: | ГОСТ Р 8.958; ГОСТ Р 8.960; ГОСТ Р 58579; ГОСТ Р 70804.2; ГОСТ Р ИСО 8756; ГОСТ Р ИСО/МЭК 20546 |
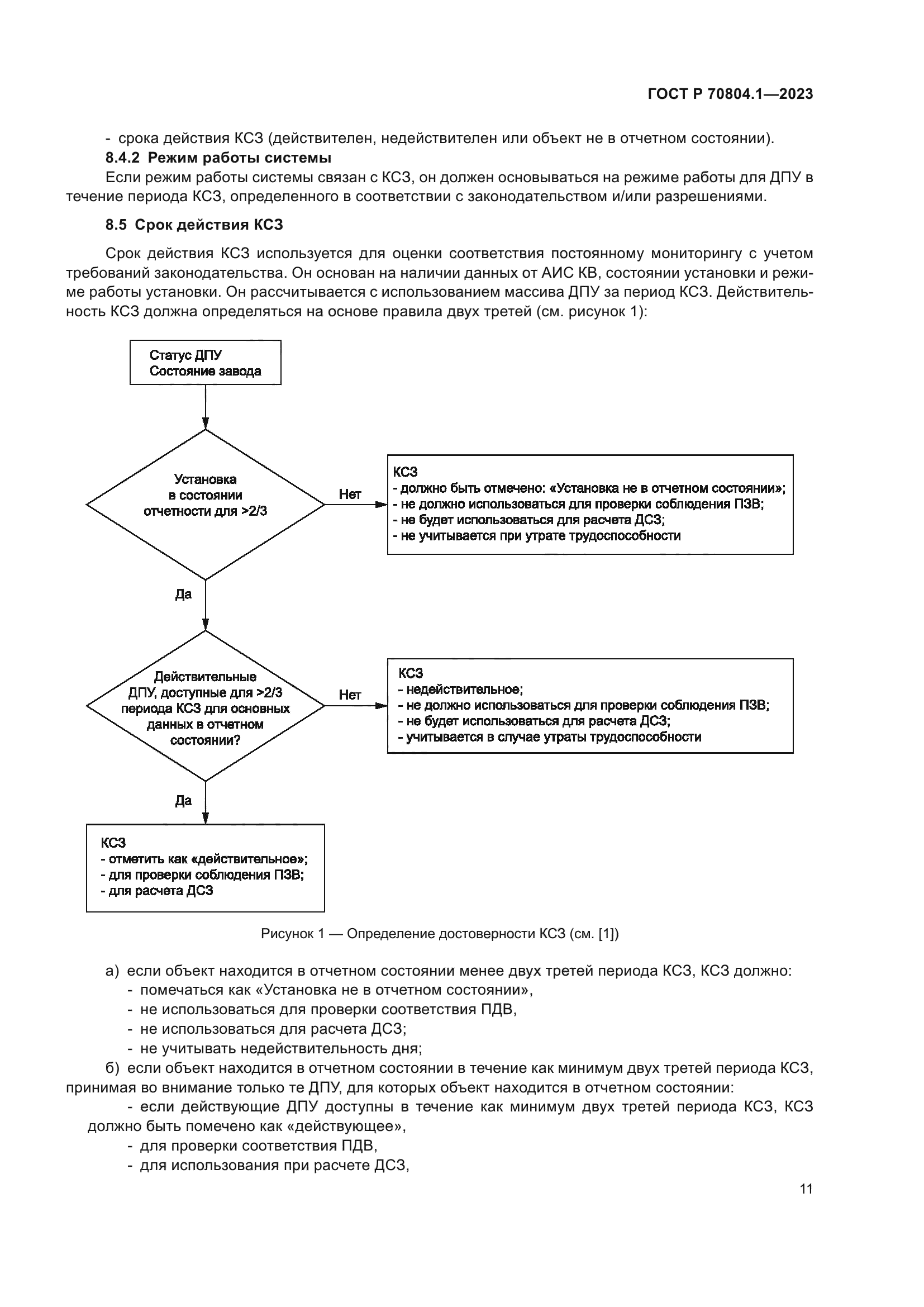
| Область применения: | Настоящий стандарт устанавливает методы преобразования необработанных данных от АИС КВ в отчетные данные с использованием ССОД. ССОД должна соответствовать: - требованиям к обработке данных; - требованиям к представлению данных; - требованиям к методам расчета. Настоящий стандарт регламентирует процедуры сбора необработанных данных, проверки достоверности первичных данных, корректировки и усреднения данных. Настоящий стандарт не исключает использование дополнительных возможностей и функций при условии, что будут выполнены минимальные требования настоящего стандарта |
|
| Расположен в: |
|