Информационная система
«Ёшкин Кот»

Скачать базу одним архивом
Скачать обновления
История создания базы
Карта сайта

Скачать ГОСТ Р ИСО 14030-2-2023 Оценка экологической результативности. Зеленые долговые инструменты. Часть 2. Механизм зеленых кредитов

Дата актуализации: 01.06.2025

ГОСТ Р ИСО 14030-2-2023

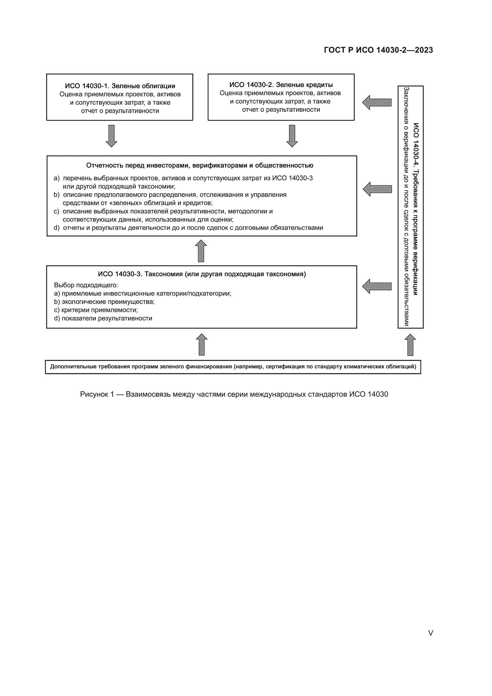
Оценка экологической результативности. Зеленые долговые инструменты. Часть 2. Механизм зеленых кредитов

Обозначение: ГОСТ Р ИСО 14030-2-2023
Статус:действующий
Название рус.:Оценка экологической результативности. Зеленые долговые инструменты. Часть 2. Механизм зеленых кредитов
Название англ.:Environmental performance evaluation. Green debt instruments. Part 2. Process for green loans
Дата актуализации текста:01.01.2024
Дата актуализации описания:01.01.2024
Дата издания:03.10.2023
Дата введения:01.01.2024
Аутентичен стандартам:ISO 14030-2:2021
Область применения:Настоящий стандарт устанавливает принципы, требования и руководящие указания: - для обозначения зеленых кредитов, используемых для финансирования приемлемых проектов, активов и сопутствующих затрат; - управления и отчетности по использованию средств; - определения, мониторинга и отчетности о воздействии на окружающую среду; - отчетности перед заинтересованными сторонами; - валидации и верификации. Действие настоящего стандарта распространяется на любого заемщика, желающего получить финансирование в виде зеленого кредита на приемлемые зеленые проекты, активы и сопутствующие затраты. Настоящий стандарт также распространяется на кредиторов
Расположен в:Государственные стандарты Общероссийский классификатор стандартов Услуги. Организация фирм, управление и качество. Администрация. Транспорт. Социология. Финансы. Банковское дело. Денежные системы. Страхование Охрана окружающей среды, защита человека от воздействия окружающей среды. Безопасность Охрана окружающей среды Экономика окружающей среды
ГОСТ Р ИСО 14030-2-2023ГОСТ Р ИСО 14030-2-2023ГОСТ Р ИСО 14030-2-2023ГОСТ Р ИСО 14030-2-2023ГОСТ Р ИСО 14030-2-2023ГОСТ Р ИСО 14030-2-2023ГОСТ Р ИСО 14030-2-2023ГОСТ Р ИСО 14030-2-2023ГОСТ Р ИСО 14030-2-2023ГОСТ Р ИСО 14030-2-2023ГОСТ Р ИСО 14030-2-2023ГОСТ Р ИСО 14030-2-2023ГОСТ Р ИСО 14030-2-2023ГОСТ Р ИСО 14030-2-2023ГОСТ Р ИСО 14030-2-2023ГОСТ Р ИСО 14030-2-2023ГОСТ Р ИСО 14030-2-2023ГОСТ Р ИСО 14030-2-2023ГОСТ Р ИСО 14030-2-2023ГОСТ Р ИСО 14030-2-2023

© 2013 Ёшкин Кот :-) Карта сайта