| Обозначение: |  ГОСТ Р ИСО 14030-4-2023 |
| Статус: | действующий |
| Название рус.: | Оценка экологической результативности. Зеленые долговые инструменты. Часть 4. Требования к программе верификации |
| Название англ.: | Environmental performance evaluation. Green debt instruments. Part 4. Verification programme requirements |
| Дата актуализации текста: | 01.01.2024 |
| Дата актуализации описания: | 01.01.2024 |
| Дата издания: | 03.10.2023 |
| Дата введения: | 01.01.2024 |
| Аутентичен стандартам: | ISO 14030-4:2021 |
| Нормативные ссылки: | ISO 14030-1;ISO 14030-2;ISO 14030-3;ISO 14064-3:2019;ISO 14065:2020;ISO/IEC 17011;ISO/IEC 17030;International Standard on Assurance Engagements (ISAE) 3000;International Standard on Related Services (ISRS) 4400 |
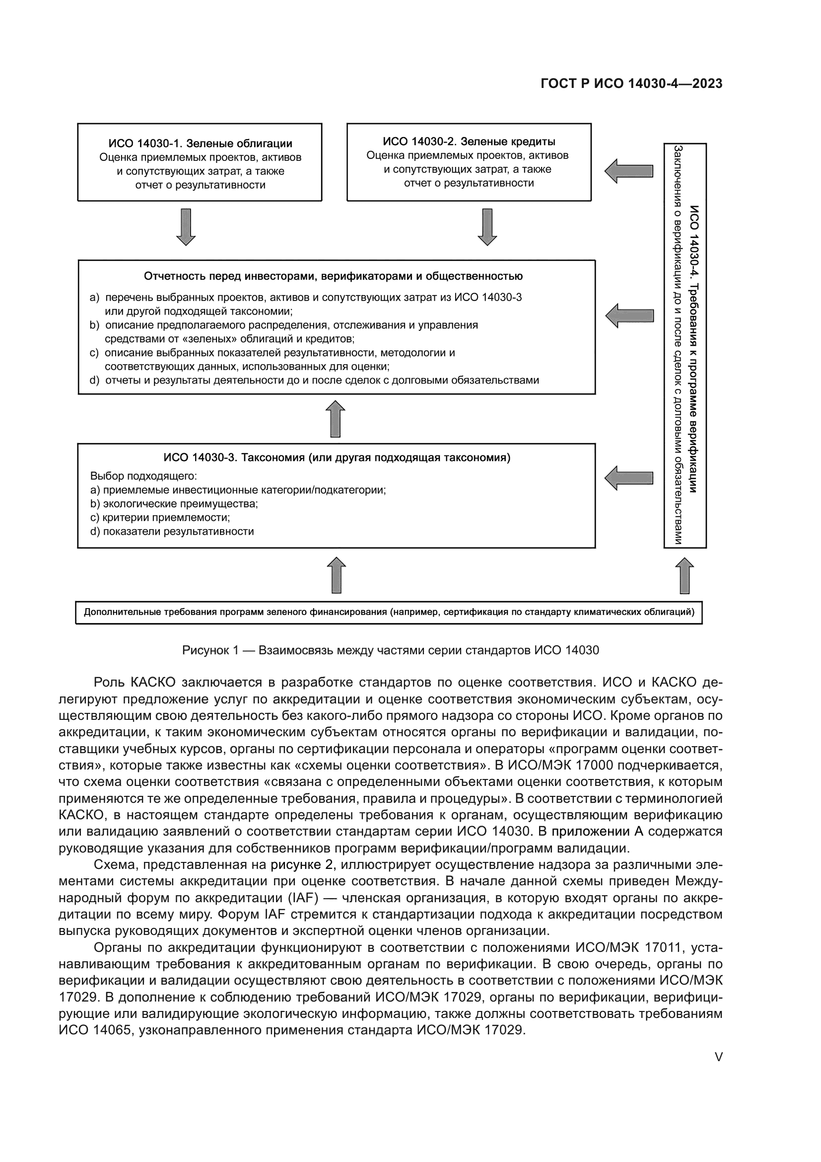
| Область применения: | Настоящий стандарт устанавливает требования к органам по верификации, осуществляющим верификацию заявлений о соответствии ИСО 14030-1 или ИСО 14030-2 и ИСО 14030-3 или соответствующей альтернативной таксономии. Соответствие требованиям настоящего стандарта является обязательным для верификации деклараций эмитентов, заемщиков и кредиторов зеленого кредита, которые утверждают, что их продукция соответствует стандартам серии ИСО 14030. Настоящий стандарт устанавливает требования к валидации заявлений о приемлемости, подготовленных в соответствии с подразделом 5.4 ИСО 14030-1:2021, подразделом 6.3 ИСО 14030-2:2021 и подразделом 7.3 ИСО 14030-2:2021. Настоящий стандарт также устанавливает требования к необязательному использованию знаков соответствия третьих сторон |
|
| Расположен в: |
|