Информационная система
«Ёшкин Кот»

Скачать базу одним архивом
Скачать обновления
История создания базы
Карта сайта

Скачать ГОСТ Р 70918-2023 Контакты магнитоуправляемые герметизированные. Классификация и система условных обозначений

Дата актуализации: 01.06.2025

ГОСТ Р 70918-2023

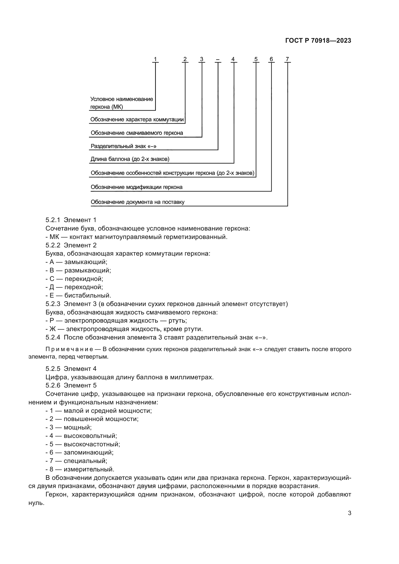
Контакты магнитоуправляемые герметизированные. Классификация и система условных обозначений

Обозначение: ГОСТ Р 70918-2023
Статус:действующий
Название рус.:Контакты магнитоуправляемые герметизированные. Классификация и система условных обозначений
Название англ.:Magnetically operated sealed contacts. Classification and system of designations
Дата актуализации текста:01.01.2024
Дата актуализации описания:01.06.2024
Дата издания:20.09.2023
Дата введения:01.03.2024
Нормативные ссылки:ГОСТ 17499;ГОСТ Р 70495
Область применения:Настоящий стандарт распространяется на вновь разрабатываемые и модернизируемые герметизированные магнитоуправляемые контакты (далее – герконы), применяемые в радиоэлектронной аппаратуре, и устанавливает их классификацию и систему условных обозначений. Состав параметров и типовых характеристик герконов установлен в ГОСТ Р 70495. Настоящий стандарт предназначен для применения предприятиями, организациями и другими субъектами научной и хозяйственной деятельности независимо от форм собственности и подчинения, а также федеральными органами исполнительной власти Российской Федерации, участвующими в разработке, производстве, эксплуатации герконов в соответствии с действующим законодательством
Расположен в:Государственные стандарты Общероссийский классификатор стандартов Электроника Электромеханические компоненты электронного оборудования и телекоммуникационного оборудования Электромеханические компоненты прочие
ГОСТ Р 70918-2023ГОСТ Р 70918-2023ГОСТ Р 70918-2023ГОСТ Р 70918-2023ГОСТ Р 70918-2023ГОСТ Р 70918-2023ГОСТ Р 70918-2023ГОСТ Р 70918-2023

© 2013 Ёшкин Кот :-) Карта сайта