| Обозначение: |  ГОСТ Р 58092.2.200-2023 |
| Статус: | действующий |
| Название рус.: | Системы накопления электрической энергии (СНЭЭ). Параметры установок и методы испытаний. Рекомендации по применению систем накопления электрической энергии на зарядных станциях с солнечными батареями для электромобилей |
| Название англ.: | Electrical energy storage (EES) systems. Unit parameters and testing methods. Recommendations for the use of electrical energy storage systems in solar charging stations for electric vehicles |
| Дата актуализации текста: | 01.01.2024 |
| Дата актуализации описания: | 01.01.2024 |
| Дата издания: | 13.09.2023 |
| Дата введения: | 01.12.2023 |
| Аутентичен стандартам: | IEC TR 62933-2-200(2021) |
| Нормативные ссылки: | IEC 62933-1 |
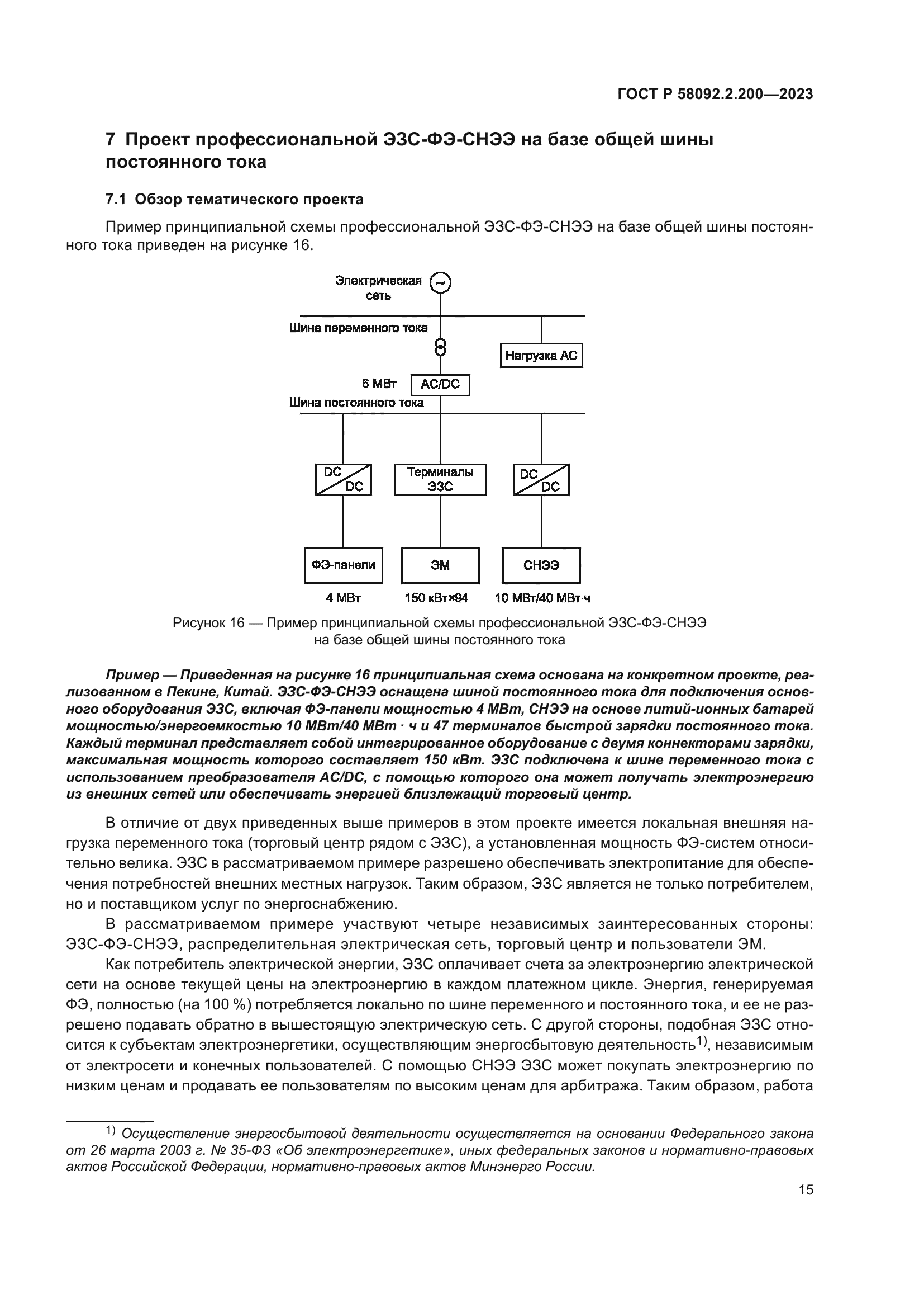
| Область применения: | Настоящий стандарт распространяется на системы накопления электрической энергии (СНЭЭ), предназначенные для работы в составе электрических зарядных станций (ЭЗС) электромобилей (ЭМ) с фотоэлектрической (ФЭ) генерацией электроэнергии (ЭЗС-ФЭ-СНЭЭ) с уровнем напряжения не более 20 кВ. СНЭЭ в таком гибридном применении предназначены для обеспечения снижения требований к подведенным мощностям электрической сети за счет возможности использования электрической энергии, аккумулированной в СНЭЭ в интервалы времени пикового потребления с последующим восполнением необходимого запаса энергии СНЭЭ во время простоя ЭЗС. Это особенно важно для станций быстрой зарядки (т. е. высокой мощности) в условиях ограничений по выделенной мощности и категории энергоснабжения и для повышения экономической выгоды работы ЭЗС за счет возможности использования суточного арбитража цен. Стандарт устанавливает требования к выбору рабочего цикла ЭЗС конкретного направления для дальнейшего выбора стратегии функционирования СНЭЭ. Настоящий стандарт содержит: - информацию о применяемых ЭЗС-ФЭ-СНЭЭ; - анализ работы СНЭЭ в типичных вариантах проектов; - обобщение и рекомендации по выбору режимов работы СНЭЭ |
|
| Расположен в: |
|