| Обозначение: |  ГОСТ Р 70843-2023 |
| Статус: | действующий |
| Название рус.: | Нефтяная и газовая промышленность. Проектирование и эксплуатация систем подводной добычи. Часть 9. Системы дистанционно управляемых инструментов (ДУИ) для работ на подводном оборудовании |
| Название англ.: | Petroleum and natural gas industries. Design and operation of subsea production systems. Part 9. Remotely оperated tool (ROT) intervention systems |
| Дата актуализации текста: | 01.01.2024 |
| Дата актуализации описания: | 01.01.2024 |
| Дата издания: | 21.09.2023 |
| Дата введения: | 30.12.2023 |
| Содержит требования: | ISO 13628-9:2000 |
| Нормативные ссылки: | ГОСТ 14254; ГОСТ 15150; ГОСТ 17216; ГОСТ 23207; ГОСТ 24856; ГОСТ 26069; ГОСТ Р 54585; ГОСТ Р 55311; ГОСТ Р 58772-2019; ГОСТ Р 59304; ГОСТ Р 59305; ГОСТ Р 70842 |
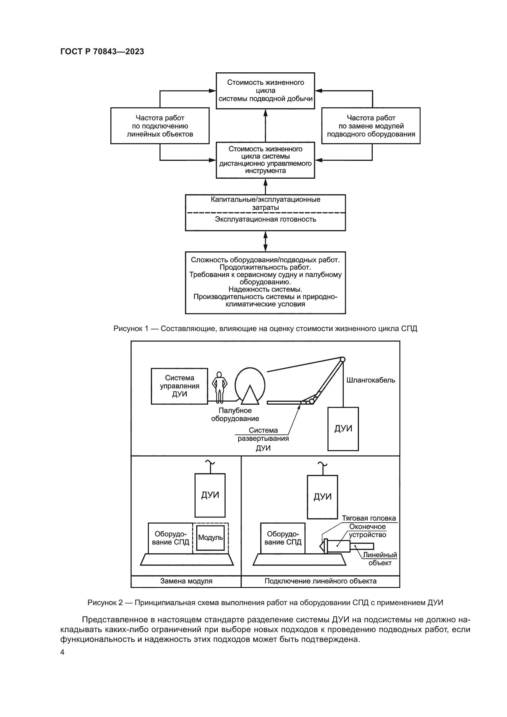
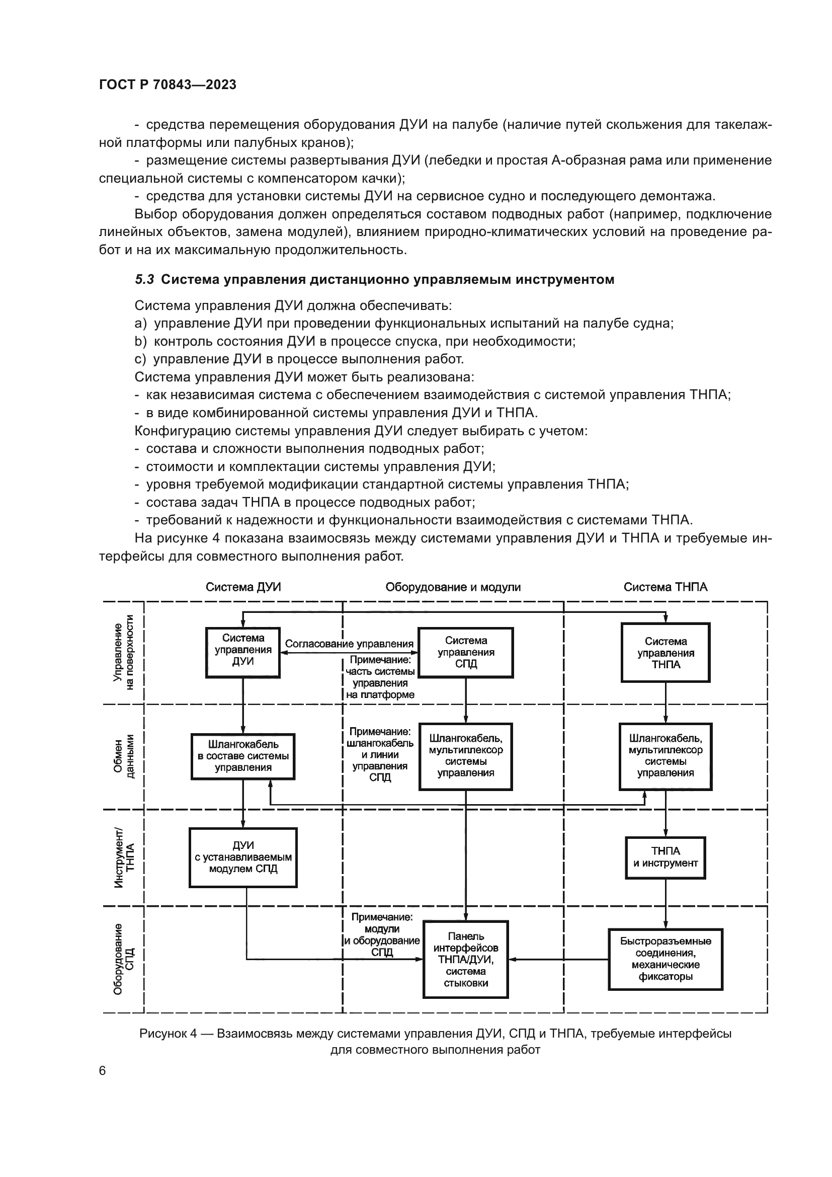
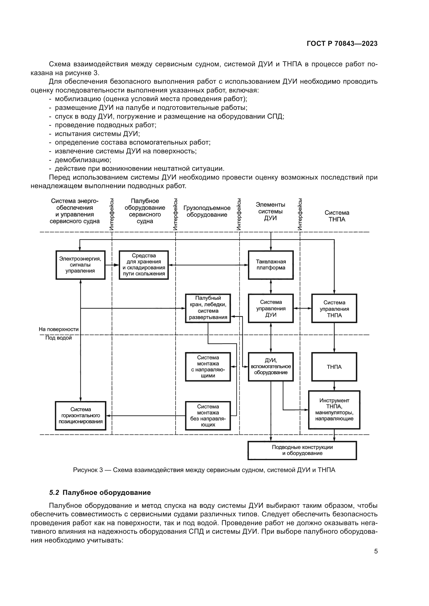
| Область применения: | Настоящий стандарт устанавливает общие правила и принципы проектирования и эксплуатации системы дистанционно управляемых инструментов, а также принципы ее взаимодействия с оборудованием системы подводной добычи для целей нефтяной и газовой промышленности |
|
| Расположен в: |
|