Информационная система
«Ёшкин Кот»

Скачать базу одним архивом
Скачать обновления
История создания базы
Карта сайта

Скачать ГОСТ Р 60.6.8.1-2023 Роботы и робототехнические устройства. Представление картографических данных для навигации роботов

Дата актуализации: 01.06.2025

ГОСТ Р 60.6.8.1-2023

Роботы и робототехнические устройства. Представление картографических данных для навигации роботов

Обозначение: ГОСТ Р 60.6.8.1-2023
Статус:действующий
Название рус.:Роботы и робототехнические устройства. Представление картографических данных для навигации роботов
Название англ.:Robots and robotic devices. Map data representation for robot navigation
Дата актуализации текста:01.01.2024
Дата актуализации описания:01.01.2024
Дата издания:13.09.2023
Дата введения:01.01.2024
Нормативные ссылки:ГОСТ Р 60.0.0.4-2023
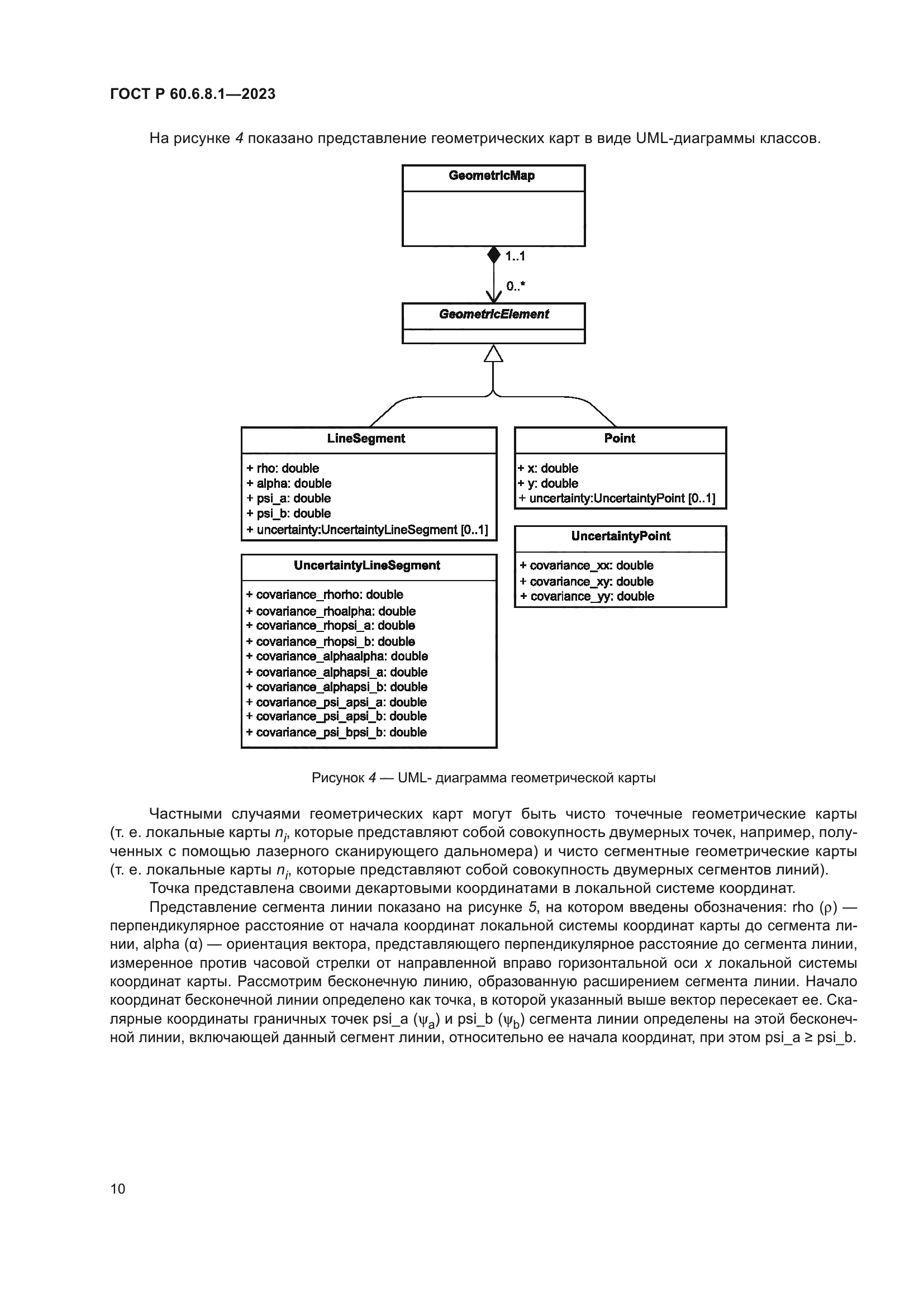
Область применения:Настоящий стандарт устанавливает общее представление двумерных карт, предназначенных для навигации мобильных роботов на закрытых и открытых территориях. Настоящий стандарт определяет характеристики для представления двумерных метрических и топологических карт и рекомендуемый формат для обмена картографическими данными между роботами, компьютерами и другими устройствами. Формат представления картографических данных, установленный в настоящем стандарте, соответствует только статическим картам, т. е. картам, на которых подвижные объекты не представлены в явном виде. Кроме того, настоящий стандарт не накладывает ограничений на географический масштаб карты или на качество поступающей сенсорной информации. В частности, в настоящем стандарте: a) установлена иерархия терминологий, относящихся к двумерным картам для навигации роботов в помещениях и на открытой местности; b) определена модель данных для каждого элемента в данной иерархии; c) определен XML-формат для обмена картографическими данными между роботами, компьютерными системами и другими устройствами
Расположен в:Государственные стандарты Общероссийский классификатор стандартов Машиностроение Промышленные автоматизированные системы Промышленные роботы. Манипуляторы Информационные технологии. Машины конторские Применение информационных технологий Применение информационных технологий в других областях
ГОСТ Р 60.6.8.1-2023ГОСТ Р 60.6.8.1-2023ГОСТ Р 60.6.8.1-2023ГОСТ Р 60.6.8.1-2023ГОСТ Р 60.6.8.1-2023ГОСТ Р 60.6.8.1-2023ГОСТ Р 60.6.8.1-2023ГОСТ Р 60.6.8.1-2023ГОСТ Р 60.6.8.1-2023ГОСТ Р 60.6.8.1-2023ГОСТ Р 60.6.8.1-2023ГОСТ Р 60.6.8.1-2023ГОСТ Р 60.6.8.1-2023ГОСТ Р 60.6.8.1-2023ГОСТ Р 60.6.8.1-2023ГОСТ Р 60.6.8.1-2023ГОСТ Р 60.6.8.1-2023ГОСТ Р 60.6.8.1-2023ГОСТ Р 60.6.8.1-2023ГОСТ Р 60.6.8.1-2023ГОСТ Р 60.6.8.1-2023ГОСТ Р 60.6.8.1-2023ГОСТ Р 60.6.8.1-2023ГОСТ Р 60.6.8.1-2023ГОСТ Р 60.6.8.1-2023ГОСТ Р 60.6.8.1-2023ГОСТ Р 60.6.8.1-2023ГОСТ Р 60.6.8.1-2023ГОСТ Р 60.6.8.1-2023ГОСТ Р 60.6.8.1-2023ГОСТ Р 60.6.8.1-2023ГОСТ Р 60.6.8.1-2023ГОСТ Р 60.6.8.1-2023ГОСТ Р 60.6.8.1-2023ГОСТ Р 60.6.8.1-2023ГОСТ Р 60.6.8.1-2023

© 2013 Ёшкин Кот :-) Карта сайта