| Обозначение: |  ГОСТ Р ИСО 20688-1-2023 |
| Статус: | действующий |
| Название рус.: | Биотехнология. Синтез нуклеиновых кислот. Часть 1. Требования к производству и контролю качества синтезированных олигонуклеотидов |
| Название англ.: | Biotechnology. Nucleic acid synthesis. Part 1. Requirements for the production and quality control of synthesized oligonucleotides |
| Дата актуализации текста: | 01.01.2024 |
| Дата актуализации описания: | 01.06.2024 |
| Дата издания: | 22.08.2023 |
| Дата введения: | 01.03.2024 |
| Аутентичен стандартам: | ISO 20688-1:2020 |
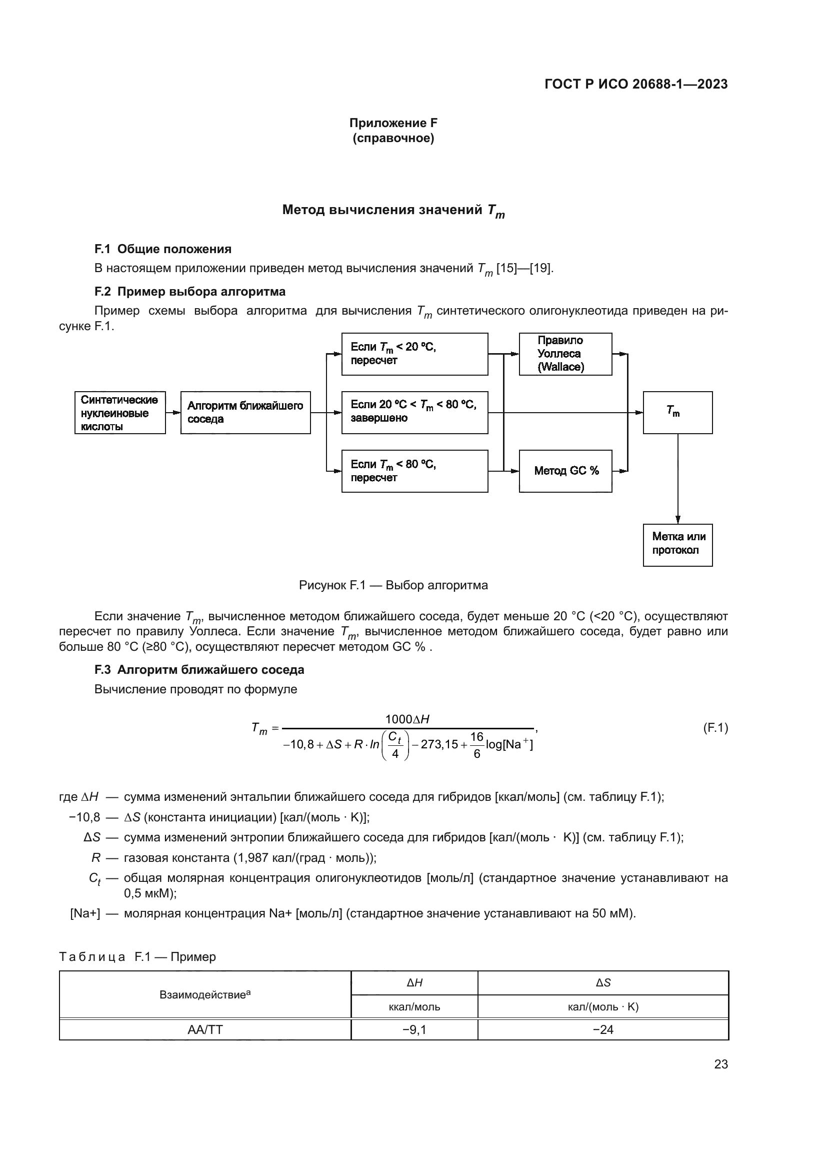
| Область применения: | Настоящий стандарт устанавливает минимальный объем требований к производству и контролю качества синтезированных олигонуклеотидов (номинально до 250 нуклеотидов). В настоящем стандарте приведены общие показатели качества для синтезированных олигонуклеотидов, а также общие методы оценки показателей качества |
|
| Расположен в: |
|